Найти в Дзене
Мнение дилетанта

Три темы, которые пока нет времени проработать

Перечисляю темы, которые сейчас в проработке. На подбор фактов, составление табличек и оформление нужно время. Когда они (темы) появятся в оформленном виде - неизвестно.
Оглавление

Перечисляю темы, которые сейчас в проработке. На подбор фактов, составление табличек и оформление нужно время. Когда они (темы) появятся в оформленном виде - неизвестно.

Сравнение клубных результатов СССР и России (опционально других бывших республик СССР).

Рейтинг тренеров.

Для игроков есть уникальный ресурс и его метрика - Transfermarkt. Это оценочный ресурс, субъективный во многом, но все же... А вот для тренеров такого нет.

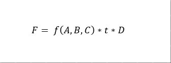
Простенькая модель оценки клубных тренеров может быть такой:

Что-то такое)))
Что-то такое)))

A - клубный рейтинг УЕФА + клубный рейтинг федерации;

B - абсолютная стоимость состава команды по Transfermarkt;

C - статусность клуба, коэф. сложности за "старые фирмы" (в том плане, что тренировать условный "Спартак" это не тоже самое, что и "Краснодар"... или, например, даже если текущий "Глазго Рейнджерс" - дно, то работа в нем все равно престижна и сложна);

t - время пребывания на посту главного тренера;

D - успешность. Оцениваться так: берется средняя стоимость состава команды по Transfermarkt и определяется место команды в состязании в сравнении с другими. Берется +/- 20% (?) и если клуб финишировал на прогнозном месте (+/- 20%), то тренер просто "выполнил норматив"; финишировал ниже - провалился; финишировал выше - успех.

Для тренеров низших дивизионов, команды из которых не имеют ни клубного рейтинга УЕФА, ни относятся напряму к рейтингу федерации делаем так: определяем относительную стоимость дивизиона (например, ФНЛ) к стоимости высшей лиги и на полученный коэффициент множим рейтинг федерации.

(И, наверняка, например Семак отправится в дремучие "троечники"...или нет? Считать нужно).

Дальние удары - критика xG

Старая тема, когда фанаты ранней "продвинутой" статистики, которой является xG, записали дальние удары в "мусорные". Стилистика "довести атаку до логического завершения, т.е. до удара", "бил, бью и буду бить" и пр. задвинута... хотят видеть соль в том, что мяч нужно буквально завести в ворота.

А если принять во внимание другие статистические данные? Если отнестись к дальнему удара, например, как к способы доставки мяча в штрафную? Или способу получения углового удара? По сути, это способ повышения того же xG.

Мысль банальна. Эта прямая аналогия с бросками от "синей линии". Но вот как ее обсчитать? Где набрать исходные данные для этого?