Найти в Дзене

Методика анализа динамических рядов

Тема: ИЗУЧЕНИЕ ДИНАМИЧЕСКИХ ПРОЦЕССОВ Методика анализа динамических рядов 1. Представить полученные данные графически и выявить форму зависимости изучаемого явления от времени. 2. Оценить наличие и силу корреляции изучаемого явления от времени. 3. Если установлено, что ряд обладает выраженной тенденцией, проводят анализ компонентов динамики ряда: основной тенденции (эволюции, тренда), кратковременных систематических движений и случайных колебаний. Основная задача анализа – разделить эти компоненты и выявить основную закономерность изменения явления во времени. Для выявления и описания тренда динамический ряд подвергают обработке - выравниванию. Способы выравнивания динамических рядов: 1. Укрупнение временных интервалов (периодов), в течение которых изучается явление. 2. Сглаживание ряда методом скользящей средней. 3. Аналитический способ. При этом способе на основании фактических данных подбирается наиболее подходящее для отражения тенденции развития явления математическое уравнение
Оглавление

Тема: ИЗУЧЕНИЕ ДИНАМИЧЕСКИХ ПРОЦЕССОВ

  • Задача-эталон по теме "Динамические ряды"
  • ЗАДАЧИ по теме ДИНАМИЧЕСКИЕ РЯДЫ

Методика анализа динамических рядов

1. Представить полученные данные графически и выявить форму зависимости изучаемого явления от времени.

2. Оценить наличие и силу корреляции изучаемого явления от времени.

3. Если установлено, что ряд обладает выраженной тенденцией, проводят анализ компонентов динамики ряда: основной тенденции (эволюции, тренда), кратковременных систематических движений и случайных колебаний. Основная задача анализа – разделить эти компоненты и выявить основную закономерность изменения явления во времени.

Для выявления и описания тренда динамический ряд подвергают обработке - выравниванию.

Способы выравнивания динамических рядов:

1. Укрупнение временных интервалов (периодов), в течение которых изучается явление.

2. Сглаживание ряда методом скользящей средней.

3. Аналитический способ.

При этом способе на основании фактических данных подбирается наиболее подходящее для отражения тенденции развития явления математическое уравнение (аппроксимирующая функция), которое принимается за модель развития явления во времени.

То есть, уровни ряда рассматриваются как функция времени, и задача выравнивания сводится к определению вида функции, отысканию ее параметров по эмпирическим данным и расчету по найденной формуле теоретических выравненных уровней.

Наиболее часто используются следующие функции:

а) линейная зависимость

б) экспоненциальная зависимость

в) показательная зависимость

г) параболическая зависимость

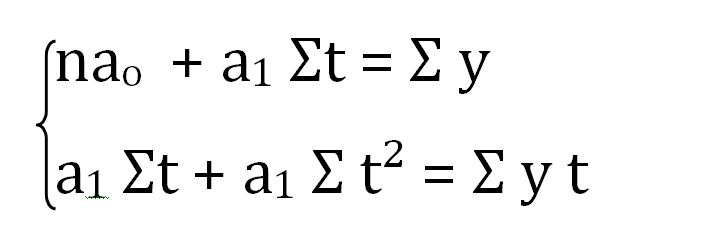
Чаще всего стремятся выравнивать ряд по прямой, используя для нахождения параметров уравнения а0 и а1 способ наименьших квадратов.

Способ наименьших квадратов позволяет найти теоретическую кривую, максимально приближенную к эмпирической, а условие минимума суммы квадратов отклонений теоретических данных от фактических позволяет свести математическое решение задачи к системе нормальных уравнений:

где

у - уровни фактического ряда;

n - количество уровней;

t - порядковый номер временного периода.

Эта система уравнений легко упрощается, если « t » присвоить ранги (порядковые номера), ведя отсчет времени от середины ряда.

При нечетном ряде середина обозначается через 0 , а отсчет рангов ведется через единицу с соответствующим знаком в ту или иную сторону от середины.

Например: -5,-4,-3,-2,-1, 0,+1.+2,+3,+4,+5 .

При четном ряде две средние временные точки обозначаются через +1 и -1 , а остальные ранги присваиваются через две единицы

Например: -5,-3,-1,+1,+3,+5.

При отсчете времени от середины ряда Σt = 0 и система нормальных уравнений принимает вид:

-2

Отсюда находим параметры уравнения:

-3

Подставляя в уравнение

-4

вместо « t » его ранги, находим выравненные (теоретические) значения уровней ряда и строим теоретическую кривую выравненного динамического ряда.

При использовании аналитического способа всегда отмечается отклонение теоретических уровней от фактических уровней ряда, которое может быть обусловлено как случайными колебаниями, так и неправильно подобранным аппроксимирующим уравнением.

В связи с этим заключительным этапом выравнивания динамического ряда аналитическим способом является оценка точности аппроксимации с определенным уровнем значимости.

Оценка точности аппроксимации возможна с помощью нахождения:

а) коэффициента вариации:

-5

где

у - фактический уровень ряда;

y t - теоретический уровень ряда;

k - число параметров уравнения;

n - число уровней ряда.

Аппроксимация считается точной при Cv не более 15%.

б) коэффициент расхождения Тейла:

-6

где

у - фактический уровень ряда;

y t - теоретический уровень ряда.

Аппроксимация считается точной при U не более 5%

После аналитического выравнивания динамического ряда и описания тренда возможно экстраполировать полученные данные.

Экстраполяция - предположение о сохранении тренда, базирующееся на допущении неизменности влияющих факторов и предшествующей тенденции. Осуществляется путем подставления в найденное уравнение аппроксимации не фактического значения временного интервала, а тех лет, на которые прогнозируется результат.

Пример решения

-7

Выравнивание аналитическим способом

В качестве модели (аппроксимирующей функции) выбираем линейную зависимость:

-8
-9

Показатели выравненного ряда

Редактировать галерею
Редактировать галерею

Общественное здоровье и здравоохранение, экономика здравоохранения. Занятия 4-5 курса

Содержание канала