Найти в Дзене

Задача-эталон по теме "Демография"

Задача-эталон В отчетном году среднегодовая численность населения района А. составила 132000 человек, в том числе: Рассчитайте и оцените показатели, характеризующие состав населения. Какие еще показатели статики населения Вы знаете? ЭТАЛОН РЕШЕНИЯ 1. ДОЛЯ ГОРОДСКОГО НАСЕЛЕНИЯ В ОБЩЕЙ ЧИСЛЕННОСТИ = 2. ДОЛЯ ДЕТСКОГО НАСЕЛЕНИЯ В ОБЩЕЙ ЧИСЛЕННОСТИ = 3. ДОЛЯ ЛИЦ В ВОЗРАСТЕ СТАРШЕ 50 ЛЕТ В ОБЩЕЙ ЧИСЛЕННОСТИ НАСЕЛЕНИЯ = 4. ДОЛЯ МУЖЧИН В ОБЩЕЙ ЧИСЛЕННОСТИ НАСЕЛЕНИЯ = Показатели статики населения: 1. Возрастной состав населения 2. Половой состав населения 3. Национальный состав населения 4. Состав населения по уровню образования 5. Состав населения по семейному положению 6. Состав населения по месту жительства (город, село) и т.д. Общественное здоровье и здравоохранение, экономика здравоохранения. Занятия 4-5 курса Содержание канала
Оглавление

Задача-эталон

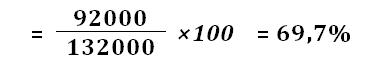
В отчетном году среднегодовая численность населения района А. составила 132000 человек, в том числе:

  • Городское – 92000
  • Дети – 21380
  • Население в возрасте старше 50 лет – 42000
  • Мужчин – 62000

Рассчитайте и оцените показатели, характеризующие состав населения.

Какие еще показатели статики населения Вы знаете?

ЭТАЛОН РЕШЕНИЯ

1. ДОЛЯ ГОРОДСКОГО НАСЕЛЕНИЯ В ОБЩЕЙ ЧИСЛЕННОСТИ =

-2

2. ДОЛЯ ДЕТСКОГО НАСЕЛЕНИЯ В ОБЩЕЙ ЧИСЛЕННОСТИ =

-3
-4

3. ДОЛЯ ЛИЦ В ВОЗРАСТЕ СТАРШЕ 50 ЛЕТ В ОБЩЕЙ ЧИСЛЕННОСТИ НАСЕЛЕНИЯ =

-5
-6

4. ДОЛЯ МУЖЧИН В ОБЩЕЙ ЧИСЛЕННОСТИ НАСЕЛЕНИЯ =

-7
-8

Показатели статики населения:

1. Возрастной состав населения

2. Половой состав населения

3. Национальный состав населения

4. Состав населения по уровню образования

5. Состав населения по семейному положению

6. Состав населения по месту жительства (город, село) и т.д.

Общественное здоровье и здравоохранение, экономика здравоохранения. Занятия 4-5 курса

Содержание канала