Найти в Дзене
Разумный мир

Цифровые потенциометры. Не так это и страшно, как кажется!

Регулируемые сопротивления, реостаты, стали неотъемлемой частью физических лабораторий, в которых занимались изучением электричества, с момента появления первого удобного источника напряжения - столба Вольта. С тех пор прошло много времени. Но переменные резисторы не потеряли свой актуальности и в наши дни. Конечно, сильно изменившись внешне. Вот об одном типе таких переменных резисторов, изменившемся до не узнаваемости в цифровую эпоху, и пойдет сегодня разговор. Классически переменные резисторы требуют участия человека, оператора, в процессе регулировки сопротивления. Но это не всегда оказывается приемлемым. Иногда требуется, что бы регулировка сопротивления осуществлялась автоматически, без участия человека. Механический привод движков реостатов, в механических же устройствах, уже существовал. И было вполне естественным добавить в конструкцию электродвигатель постоянного тока, для возможности реверса направления. Так появилась возможность регулировать сопротивление электронным спосо
Оглавление

Регулируемые сопротивления, реостаты, стали неотъемлемой частью физических лабораторий, в которых занимались изучением электричества, с момента появления первого удобного источника напряжения - столба Вольта.

С тех пор прошло много времени. Но переменные резисторы не потеряли свой актуальности и в наши дни. Конечно, сильно изменившись внешне.

Реостат, проволочный переменный резистор (де факто, реостат в миниатюре), некоторые переменные резисторы разных лет и разного назначения.
Реостат, проволочный переменный резистор (де факто, реостат в миниатюре), некоторые переменные резисторы разных лет и разного назначения.

Вот об одном типе таких переменных резисторов, изменившемся до не узнаваемости в цифровую эпоху, и пойдет сегодня разговор.

Зачем нужен цифровой потенциометр

Классически переменные резисторы требуют участия человека, оператора, в процессе регулировки сопротивления. Но это не всегда оказывается приемлемым. Иногда требуется, что бы регулировка сопротивления осуществлялась автоматически, без участия человека.

Механический привод движков реостатов, в механических же устройствах, уже существовал. И было вполне естественным добавить в конструкцию электродвигатель постоянного тока, для возможности реверса направления. Так появилась возможность регулировать сопротивление электронным способом.

Надо сразу внести уточнение, что чисто электронные методы, например, изменением тока анода электронной лампы, для регулировки сопротивления, подходят далеко не всегда. И по мощности регулируемой цепи, и по изоляции между управляющей и управляемой цепями.

Такие переменные резисторы с электромеханическим управлением были неудобны и не очень надежны. Поэтому широкого распространения не получили. Из применяли только в тех случаях, когда другие варианты были не возможны.

Естественно, с появлением микросхем и цифровых, логических, схем возникло желание, а самое главное, возможность, отказаться от сложных и громоздких электромеханических приводов. Так появляются потенциометры электронные.

Как устроен электронный потенциометр

Принцип, положенный в основу таких, уже чисто электронных, решений был прост и известен уже давно. Ведь классический трехвыводный потенциометр является просто регулируемым делителем напряжения. И не всегда требуется именно непрерывная плавная регулировка. А значит, можно сделать так

Аналоговый непрерывный и аналоговый дискретный потенциометры. Иллюстрация моя
Аналоговый непрерывный и аналоговый дискретный потенциометры. Иллюстрация моя

Такой дискретный вариант применялся в электронных устройствах уже давно. Но привод переключателя все равно оставался ручным. Однако, развитие электроники дало возможность заменить ручной привод электронным коммутатором.

Возможны различные варианты реализации такого коммутатора. Особенно, при использовании дискретных транзисторов. Но наибольшее распространение нашли схемы аналоговых ключей на полевых транзисторах с изолированными затворами. Давайте посмотрим на такой ключ (один канал микросхемы 168КТ2)

Фрагмент схемы микросхемы 168КТ2, один канал. Из документации
Фрагмент схемы микросхемы 168КТ2, один канал. Из документации

В данном случае вывод 12 это аналоговый вход, а вывод 14 это аналоговый выход. Вывод 13, затвор полевого транзистора, управляет состоянием ключа. В данном случае, при нулевом напряжении на затворе ключ закрыт, а при отрицательном напряжении (-15 В) ключ открыт.

Однако, в таких ключах существует проблема влияния выходного напряжения на пороговое напряжение затвора. Для устранения этого влияния подложка, в отличии от типовых МОП транзисторов, не соединена с истоком, а имеет отдельный вывод. Если точнее, в данной микросхеме все выводы подложек соединены между собой и подключены к выводу 11.

Для 168КТ2 на вывод 11 требовалось подавать напряжение +5 В, что сдвигало пороговое напряжение затвора и исключало влияние коммутируемых напряжений амплитудой менее 5 В.

168КТ2 предназначалась для специального (военного) применения. Ее гражданским аналогом является микросхема К547КП1. Были и другие подобные микросхемы ключей. И, разумеется, такие аналоговые ключи можно было собрать на дискретных транзисторах. Правда отдельного вывода подложки уже не будет. Это даст некоторые ограничения, но ключ будет работать.

Ну а наш электронный потенциометр может быть, например, таким

Пример построения электронного потенциометра на ключах на полевых транзисторах с изолированным затвором и индуцированным каналом n-типа. Иллюстрация моя
Пример построения электронного потенциометра на ключах на полевых транзисторах с изолированным затвором и индуцированным каналом n-типа. Иллюстрация моя

Обратите внимание, это уже электронный, но еще не цифровой потенциометр. Основным его достоинством является полное отсутствие каких либо механических компонентов и подвижных контактов. А основным недостатком ограниченный диапазон напряжений и необходимость сдвига уровней входного и выходного сигналов, что бы сохранялась требуемая полярность напряжения на выводах транзисторов.

Устранить второй недостаток можно изменив схему ключа. Вот классический ключ на полевых транзисторах, который может коммутировать переменное напряжение без постоянной составляющей

Аналоговый двунаправленный ключ, который может коммутировать переменное напряжение без постоянной составляющей. Иллюстрация моя
Аналоговый двунаправленный ключ, который может коммутировать переменное напряжение без постоянной составляющей. Иллюстрация моя

Как вы без сомнения знаете, этот ключ может передавать сигнал в любом направлении. И это важно для его применения в электронном потенциометре. Я не буду приводить иллюстрацию, так как достаточно заменить простейшие ключи на МОП транзисторах на предыдущей иллюстрации электронного потенциометра на такой вот улучшенный ключ, как мы получим классический электронный потенциометр. Из ограничений остался только не самый большой диапазон напряжений сигнала.

Обратите внимание, что не смотря на инвертор этот потенциометр все равно будет электронным, но не еще цифровым. Остается сделать всего один шаг

Как устроен цифровой потенциометр

В электронном потенциометре каждый ключ имеет свой вывод управления. С одной стороны, это удобно и позволяет замыкать одновременно несколько ключей. С другой стороны, количество соединений цепей управления получается слишком большим. А возможность одновременного замыкания нескольких ключей может приводить к ошибкам.

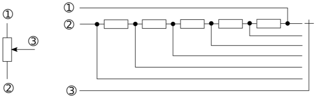
Но ведь можно просто добавить в схему потенциометра счетчик и дешифратор. И мы получим уже цифровой потенциометр. Правда пока довольно простой

Пример схемы простого цифрового потенциометра. Иллюстрация моя
Пример схемы простого цифрового потенциометра. Иллюстрация моя

AMUX это аналоговый коммутатор. Для счетчика предусмотрена возможность загрузки заданного значения, например, начального состояния. И выводы для шагов движения "ползунка" потенциометра.

Это вполне работоспособный вариант практического построения цифрового потенциометра. Но его весьма ощутимым ограничением является сложность построения схемы для большого числа шагов. Даже при использовании микросхем аналоговых коммутаторов. Поэтому практическим пределом являются 32 позиции. Это не означает, что больше нельзя. Это означает, что больше не имеет смысла для дискретных компонентов.

И тут нам на помощь приходят готовые интегральные цифровые потенциометры.

Как устроены микросхемы цифровых потенциометров

Размещение всех компонентов цифрового потенциометра внутри одной микросхемы не только уменьшает его габариты, но и значительно упрощает взаимодействие с ним и увеличивает функциональные возможности.

Основным блоком, который добавляется к нашему цифровому потенциометру, является модуль интерфейса шины. Именно этот модуль позволяет подключить цифровой потенциометр к микроконтроллеру для получения управляющих команд. Наиболее распространены интерфейсы I2C и SPI.

Вторым весьма полезным блоком является энергонезависимая память положения ползунка потенциометра. Наличие такой памяти позволяет запоминать, к каком положении ползунок находился перед выключением питания и восстанавливать это положение при включении питания. При отсутствии энергонезависимой памяти ползунок обычно устанавливается в среднее положение, что далеко не всегда бывает удобным.

Давайте посмотрим, как устроены несколько микросхем цифровых потенциометров. От простых, до более сложных.

MCP4018

Это один из самых простых потенциометров. Он может отрабатывать только 128 положений ползунка. А из команд только "установить ползунок" и "получить положение ползунка".

Функциональная схема цифрового потенциометра MCP4018. Из документации
Функциональная схема цифрового потенциометра MCP4018. Из документации

Причем вывод В собственно потенциометра (резисторной матрицы Pot0) соединен с выводом отрицательного полюса источника питания (Vss). Так как этот потенциометр располагается в миниатюрном корпусе SC70-6 и отдельного вывода просто нет.

Блок интерфейса шины рассматривать нет смысла. Он стандартный. Чтение по адресу устройства просто возвращает текущее положение ползунка, а запись выполняет установку ползунка в новое положение. Никаких других возможностей не предусмотрено.

В этой микросхеме нет счетчика, как в наших примерах. Есть лишь регистр, ячейка памяти, которая хранит текущее положение. При включении питания ползунок устанавливается в среднее положение.

Матрица резисторов и аналоговый коммутатор выглядят в точности так, как мы ранее рассматривали

Матрица резисторов и аналоговый коммутатор. Из документации
Матрица резисторов и аналоговый коммутатор. Из документации

В общем и целом, данный цифровой потенциометр можно даже назвать классическим. Точнее, его внутреннее устройство классическое.

На шине I2C может находиться только одна такая микросхема, так как нет возможности как то изменить заданный изготовителем адрес.

DS1803

Я не буду приводить никаких иллюстраций для этого потенциометра. Так как он не менее классический и очень похож на рассмотренный выше. Микросхема позволяет отрабатывать 256 позиций ползунка. Причем этот потенциометр двух канальный, а значит такого простого протокола, как у MCP4018 уже не достаточно.

Здесь есть три дополнительных вывода, с помощью которых можно задать три младших бита адреса. А значит, на одной шине может находиться до 8 таких микросхем.

При чтении по адресу устройства всегда возвращается два байта, которые соответствуют положению ползунков двух потенциометров. Разумеется, вы можете отказаться получать положение второго ползунка, как это принято стандартом I2C.

А вот при записи уже требуется посылать одну из трех возможных команд: установить ползунок 1, установить ползунок 2, установить оба ползунка в одно положение.

MCP4641

А вот это уже гораздо более интересная микросхема. Она не просто двухканальная, она еще имеет энергонезависимую память положения ползунков и энергонезависимую память общего применения.

Функциональная схема цифрового потенциометра MCP4641. Из документации
Функциональная схема цифрового потенциометра MCP4641. Из документации

Здесь нам почти все уже знакомо. Два канала цифровых потенциометров, интерфейс шины, с возможностью задавать младшие биты адреса микросхемы. Но появился блок памяти. Давайте на него взглянем подробнее

-10

По адресам с 06h по 0Fh расположились ячейки энергонезависимой памяти общего применения. Программа может хранить здесь любую информацию. Эта область памяти нам не интересна.

Ячейки 00h и 01h это регистры положения двух ползунков. Они ничем не отличаются от ранее рассмотренных случаев. И точно так же хранят положение ползунка только при наличии питания.

А вот адреса 02h и 03h занимают энергонезависимые ячейки памяти положения ползунков. При изготовлении по этим адресам записывается информация соответствующая среднему положению. А вот при работе микросхемы здесь сохраняется о текущем положении ползунков. И при последующем включении питания информация из этих ячеек копируется в ячейки по адресам 00h и 01h. Таким образом, положение ползунков восстанавливается.

Регистр TCON нам раньше еще не встречался. С помощью этого регистра можно управлять подключением выводов собственно потенциометра (A, B, W) к выводам микросхемы.

Причем для ползунков можно задать, нужно ли их соединять с выводом В в состоянии "останов" (в том числе, при включении питания до выполнения инициализации и восстановления состояния).

Регистр STATUS, как и следует из его названия, позволяет получить информацию о текущем состоянии микросхемы.

Но это еще не все! Вывод WP управляет блокировкой записи в энергонезависимую память. Если блокировка включена, то из энергонезависимой можно только считывать. Кроме всего прочего, это запрещает обновление информации о текущем положении ползунков в энергонезависимой памяти. А значит, можно записать положение ползунков при выполнении калибровки и запретить запись в память. При работе возможность изменения положения ползунков сохранится, но при каждом включении питания они будут восстанавливать то положение, которое было задано при калибровке.

Если полная блокировка записи в энергонезависимую память является слишком жесткой, то можно использовать WiperLock. Это позволит сохранить возможность использования энергонезависимой памяти, но зафиксирует ползунки.

По шине I2C микросхема принимает уже 4 команды. Чтение, запись, увеличение, уменьшение. То есть, мы можем не просто установить ползунки в определенное положение, но и сделать один шаг.

Поскольку статья не о работе с данной микросхемой, я не буду дальше погружать вас в особенности ее работы.

AD7376

Это был бы совершенно типичный цифровой потенциометр, если бы не две особенности. Первая, здесь есть вход замыкающий движки на общий провод. Вторая, микросхема может работать при питающем напряжении до 30 В при однополярном питании, и до +15 -15 В при двухполярном.

Я остановлюсь лишь на первой особенности

-11

Как видно, сигнал SHDN отключает матрицу резисторов от вывода А и соединяет выводы W и В.

Общие характеристики цифровых потенциометров

Думаю уже видно, что цифровые потенциометры устроены не так и сложно. А собственно потенциометр, без учета логики шины, в микросхемах устроен практически одинаково. А раз так, то и, как минимум, некоторые их характеристики должны быть сходными. С точки зрения сравнения разных микросхем.

Давайте отбросим очевидные, напряжение питания, число каналов, количество положений ползунков, полное сопротивление между выводами 1 и 2 (А и В), наличие энергонезависимой памяти. Посмотрим на те характеристики, которые определяют микросхему именно как потенциометр.

Диапазон напряжений на выводах потенциометра

В типовом случае, напряжение на любом выводе должно лежать в пределах питающих напряжений. То есть, не может быть отрицательным и не может превышать напряжения питания.

Это весьма серьезное ограничение. Так как иногда требуется работать с двухполярным сигналом без постоянной составляющей. Если двойная амплитуда такого сигнала на превышает напряжения питания, то выход существует. Нужно просто добавит к сигналу, на время обработки, постоянную составляющую, что бы избежать отрицательных значений напряжения.

Это можно сделать разными способами. Например, действительно добавить к сигналу постоянную составляющую. При необходимости обеспечив развязку по постоянному току от предыдущих и последующих каскадов.

Или сдвинуть питающее напряжение цифрового потенциометра (скорее всего, не только его) сделав его двухполярным. А среднюю точку питания соединить с сигнальной землей.

Частотные свойства

Вполне естественно, что цифровые потенциометры могу работать с сигналами постоянного тока. Так же очевидно, что верхняя рабочая частота имеет ограничения.

Естественной причиной ограничений являются внутренние емкости микросхемы. Поэтому цифровые потенциометры с большим сопротивлением имеют и большие частотные ограничения.

Для примера, MCP4641, на уровне -3 dB и емкости нагрузки 30 пФ имеют такие предельные рабочие частоты

  • 5 кОм - 2 МГц
  • 10 кОм - 1 МГц
  • 50 кОм - 200 кГц
  • 100 кОм - 100 кГц

Иногда могут приводиться и графики зависимости усиления (ослабления) от частоты

Зависимость коэффициента деления от частоты для MCP4018. Из документации
Зависимость коэффициента деления от частоты для MCP4018. Из документации

Искажения сигнала

Для цифровых потенциометров ориентированных на применение для регулировки усиления сигнала могут приводиться и параметры нелинейности, гармонических искажений, шумовые параметры.

Думаю, эти параметры особенно будут интересны тем, кто захочет применить цифровой потенциометр для регулировки, например, громкости в УНЧ. Вот пара примеров для AD7376

Гармонические искажения и шум в зависимости от частоты
Гармонические искажения и шум в зависимости от частоты
Гармонические искажения и шум в зависимости от амплитуды.
Гармонические искажения и шум в зависимости от амплитуды.

Влияние цепей управления на выходной сигнал

Цепи управления неизбежно вносят помехи в полезные сигналы. И если нет разделения цифрового и аналогового питаний (и земель), то влияние может быть заметным. Вот пример для MCP4018 с сопротивлением 100 кОм

Влияние сигнала SCL на выходной сигнал. Из документации
Влияние сигнала SCL на выходной сигнал. Из документации

Если не считать выбросов на фронтах сигнала SCL, то можно заметить, что изменения уровня SCL вызывает изменение напряжения на ползунке потенциометра примерно 1 мВ. Здесь же видно, что влияет и сигнал SDA.

Не надо считать, что эта иллюстрация свидетельствует о том, что MCP4018 плох. Для потенциометра с сопротивление 10 кОм влияние практически ответствует. Не считая выбросов на фронтах SCL, которые просто передаются по шине земли.

Подобное же влияние есть практически у всех цифровых потенциометров. Но оно существует только при обращении микроконтроллера к микросхеме потенциометра.

Применение цифровых потенциометров

Цифровые потенциометры можно применять точно так же, как и обычные. Главное, не выходить за допустимый пределы напряжений и токов.

Вот пример использования цифровых потенциометров для регулировки смещения и усиления каскада на ОУ

Регулировка смещения и усиления каскада на ОУ. Из документации
Регулировка смещения и усиления каскада на ОУ. Из документации

Здесь используется уже знакомый нам MCP4018. А MCP4017 это точно такой же потенциометр, только у него один из крайних выводов потенциометра не подключен (реостатное включение).

Ну и, специально для аудиофилов, пример регулятора громкости с подавлением шумов ползунка

Регулировка громкости УНЧ с подавлением шума ползунка цифрового потенциометра. Из документации
Регулировка громкости УНЧ с подавлением шума ползунка цифрового потенциометра. Из документации

Заключение

На сегодня все. Цифровые потенциометры не так сложно устроены, но мало подходят для сборки из дискретных компонентов. А вот использование готовых микросхем позволяет более просто решить некоторые вопросы построения и аналоговых схем, и цифровых, и источников питания, и многого другого.

Это не самые дешевые микросхемы. Но просто оцените, какого это, собрать такой потенциометр, например, на 256 положений из дискретных компонентов, и стоимость цифрового потенциометра не покажется слишком высокой.

До новых встреч!