Добавить в корзинуПозвонить
Найти в Дзене

Фосфорная кислота. Три ступени жизни

Здравствуйте, уважаемые читатели!
Сейчас задумалась, а много ли есть кислот, содержащих три атома водорода в своем составе... Навскидку вспоминается пожалуй лишь фосфорная кислота. О ней мы сегодня и поговорим
Изображение взято с pixabay.com
Изображение взято с pixabay.com

Здравствуйте, уважаемые читатели!

Сейчас задумалась, а много ли есть кислот, содержащих три атома водорода в своем составе... Навскидку вспоминается пожалуй лишь фосфорная кислота. О ней мы сегодня и поговорим.

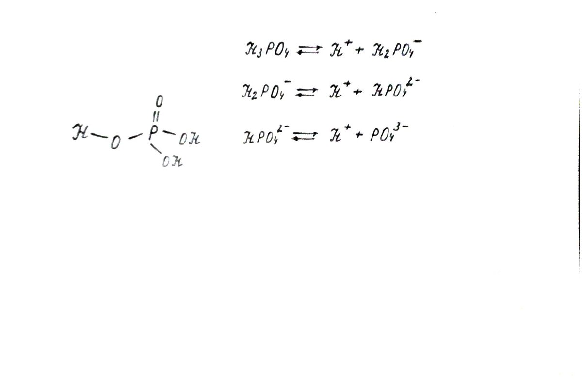
Как у человека бывает иногда двойное имя, так и у этой кислоты. Она не просто фосфорная, а ОРТОфосфорная. Внешне представляет собой бесцветные твердые кристаллы, здорово впитывающие влагу и при температуре выше 42 градусов переходящие в вязкую жидкость. Поэтому логично предположить, что такие кристаллы хорошо растворяются в воде, еще и в спирте.

Ортофосфорная кислота относится к трехосновным, благодаря трем атомам водорода в составе, поэтому в растворе распадается на ионы ступенчато. Причем диссоциация по каждой последующей ступени проходит слабее, чем по предыдущей. Такую кислоту можно отнести к электролитам средней силы. Поэтому она не проявляет выраженных окислительных свойств в отличие от тех же азотной и серной кислот.

-2

Химические свойства ортофосфорной кислоты

1) Взаимодействие с металлами (до водорода в ряду напряжений).

2) Взаимодействие с основными оксидами и основаниями.

3) Взаимодействие с амфотерными оксидами и основаниями.

4) Взаимодействие с аммиаком (у него тоже есть основные свойства).

5) Взаимодействие с солями. Только реакция состоится, если в качестве хотя бы одного из продуктов образуется газ, или осадок, или слабый электролит. Еще в таких уравнениях нужно обращать внимание на то, какой реагент находится в избытке, а какой - в недостатке (кислота или соль). Взгляните на уравнения.

-3

Применение ортофосфорной кислоты достаточно обширно. Она используется в производстве красок, удобрений, входит в состав моющих средств против коррозии, ржавчины и накипи. Стоматологи очищают зубную эмаль перед пломбированием с помощью смеси, где есть фосфорная кислота.

И, как ни странно, может быть, звучит, но фосфорная кислота применяется и в качестве пищевой добавки - регулятора кислотности. Здесь очень важно проявлять осторожность, чтобы не нарушить кислотно-щелочной баланс в организме и не получить к тому же кариес из-за поврежденной эмали.

Спасибо вам большое за внимание! 😊 До встречи!

P. S. Предлагаю вам чтение для души!

"Дамы и моды. Женщины династии Романовых на портретах известных живописцев" - Часть 1. Часть 2. Часть 3. Часть 4.

О судьбе загадочного живописца и прекрасного человека Павла Николаевича Филонова: часть 1 , часть 2 , часть 3