Найти в Дзене

Упрощение дробно-иррациональных алгебраических выражений. Часть 2.

Данная статья является продолжением части 1, посвященной разбору методов и алгоритмов упрощения дробно-иррациональных выражений.

Данная статья является продолжением части 1, посвященной разбору методов и алгоритмов упрощения дробно-иррациональных выражений, Напомним, что дробно-иррациональными выражениями являются дроби, содержащие радикалы ( корни).

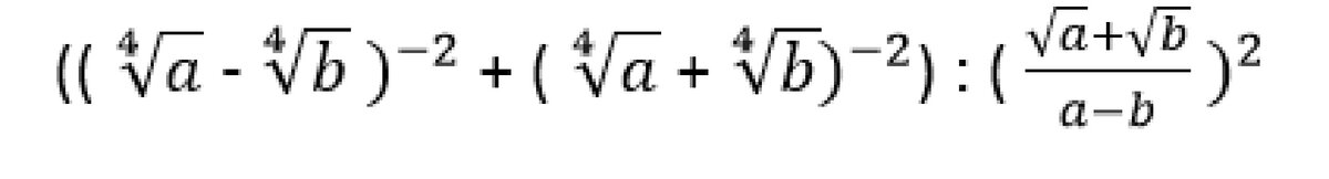
Рассмотрим дробно-иррациональное выражение следующего вида:

Как и в предыдущем примере, необходимо правильно определить порядок действий.

Первое действие - преобразование и сложение выражений в первых скобках, затем преобразование дробно-иррациоанального выражения во вторых скобках, затем необходимо будет выполнить деление результата сложения выражений в первых скобках, на преобразованное выражение во вторых скобках.

Итак, приступим к преобразованиям выражений

-2

И

-3

Очевидно, что сначала необходимо изменить знак степени (-2) на положительный:

-4

Выражения, которые мы получили в знаменателях дробей напоминают по своему виду квадрат суммы и квадрат разности соответственно. Но может возникнуть вопрос, что делать с корнем ( радикалом) 4-ой степени. В данном случае это не должно смущать, т. к. какой бы степени не был корень, соответствующие формулы, применимые к квадрату суммы и квадрату разности применимы и в данном случае. Но прежде чем применить формулы квадрата суммы и квадрата разности для преобразования выражений

-5

и

-6

необходимо найти общий знаменатель. Очевидно, что в данном случае общим знаменателем будет :

-7

Домножив числители дробей на соответствующие сомножители получим следующее выражение:

-8

Теперь мы можем разложить на множители, выражения, стоящие в числителе, полученной дроби согласно формулам квадрата суммы и квадрата разности. Знаменатель, пока оставим в исходном виде:

-9

Очевидно, что знаменатель представляет собой разность квадратов, поэтому его можно привести к более компактному виду применив известную формулу "разности квадратов":

-10

так как в данном случае <a> и <b> представлены соответственно

-11

то их квадраты, будут представлять из себя корни 2-ой степени

-12

и то же самое для

-13

Тогда, приведя подобные члены в числителе дроби, получим:

-14

(Примечание: цветом выделены соответствующие подобные члены).

Проведем преобразование дробно-иррационального выражения во второй скобке:

-15

При упрощении ( преобразовании знаменателя мы использовали "разность квадратов", т.е. :

-16

В применении к нашему выражению, стоящему в знаменателе

-17

соответственно. Может возникнуть вопрос, почему нельзя было бы разложить еще и числитель как " квадрат суммы" :

-18

В этом нет смысла, так как это не приведет к упрощению выражения, в данном случае. Именно разложение знаменателя как " разности квадратов" позволяет получить " удобные" легко сокращающиеся выражения, дающие достаточно простую по своему виду дробь-

2
2

Поэтому очень важно не просто " увидеть" соответствующие возможности упрощения тех или иных выражений, а правильно определить, где их необходимо применить, чтобы получить максимально простое по своему виду выражение.

2) Итак, выполним деление полученных преобразованных ( упрощенных) выражений:

-20

( Примечание: в последнем преобразовании вынесен общий множитель <2> )

Таким образом мы получили итоговый результат упрощения равный

-21

Подводя итог проанализируем , какие преобразования привели нас к полученному результату:

1) Изменение отрицательного знака на положительный степеней иррациональных выражений, посредством представления их в виде дробей, т.е.

-22

соответственно.

2) Сложение полученных выше выражений посредством нахождения общего знаменателя равного

-23

3) Преобразование выражений, полученных в числителе дроби

-24

посредством применения формул квадрата суммы и квадрата разности соответственно;

4) Приведение подобных членов в числителе дроби

-25

5) Преобразование ( упрощение) дробно - иррационального выражения во вторых скобках

-26

посредством представления знаменателя дроби как разности квадратов

-27

что позволяет привести знаменатель к удобной для сокращения форме;

6) Итоговое деление упрощенных выражений:

-28

В заключение хотелось бы подчеркнуть, что решение того или иного примера не должно строиться на желании как можно скорее "победить задачу", а прежде всего разобраться в сути задания, понять его смысл. Как правильно сказал один из математиков: "... проблема не в том, чтобы решить, а в том, чтобы понять и насладиться этой красотой!" Важно помнить, что за "математическими абстракциями" стоят реальные методы описания сложных физических процессов окружающего нас мира. Так полученный нами результат упрощения:

-29

Мог быть реальной функцией сложной трехмерной поверхности, которая могла бы отображать изменение энергии в процессе химической реакции:

-30

( a =х и b= у соответственно).