Добавить в корзинуПозвонить
Найти в Дзене

Фосфин и оксид фосфора (V). Это что это такое? Это кто это такой?

Здравствуйте, уважаемые читатели!
Сегодня я предлагаю вам составить краткое досье на два соединения фосфора
Изображение взято с pixabay.com
Изображение взято с pixabay.com

Здравствуйте, уважаемые читатели!

Сегодня я предлагаю вам составить краткое досье на два соединения фосфора.

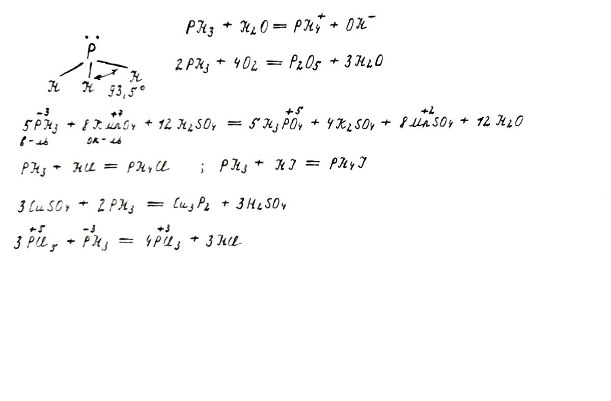
Первый "герой" - фосфин. Бесцветный газ с неприятным запахом гнилой рыбы или чеснока (у кого какие ассоциации). Причем газ достаточно ядовитый.

В природе фосфин вместе с некоторыми другими газами, среди которых есть и метан, образуется при разложении без доступа воздуха органических остатков на болотах, торфяниках. Фосфин самовозгорается на воздухе, из-за этого поджигается метан, и над болотами может появиться мерцающий свет, кажущийся особенно романтичным людям таинственными огоньками. Еще Артур Конан Дойль писал в свое время: "Если рассудок и жизнь дороги вам, держитесь подальше от торфяных болот..." Так что фосфин пусть и косвенно, но "засветился" в детективном жанре.

Молекула фосфина по структуре похожа на аммиак с той лишь разницей, что у фосфина меньше выражены основные свойства, его растворы имеют нейтральную реакцию среды. По аналогии с катионом аммония образуется и катион фосфония, только его (фосфония) соли крайне неустойчивы.

Вообще фосфин в реакциях проявляется как восстановитель. Особенно интересно его взаимодействие с кислородом, напоминающее цепную реакцию, которая протекает достаточно быстро, вплоть до взрыва. При низких температурах газ может быть устойчивым, а при освещении - опять становится взрывоопасным, поэтому ученые все больше задумываются о наблюдении (мониторинге) за концентрацией в природе не только метана, но и фосфина. Что до применения в хозяйственной деятельности, то фосфин используют для избавления хранилищ зерна и сельскохозяйственной продукции от клещей.

-2

Второй участник нашей статьи - оксид фосфора (V) - белое кристаллическое вещество молекулярной природы. Если совсем углубиться в структуры, то правильнее называть этот оксид "пэ четыре-о десять". Он стремительно присоединяет воду, поэтому используется для осушения, например, различных газов.

Оксид фосфора (V) - кислотный оксид, он взаимодействует с основными оксидами, основаниями. У кислот же он "отнимает" воду. С восстановителями ведет себя как окислитель.

-3

На сегодня мы закончим наш разговор. Голове ведь тоже требуется отдых от умственных нагрузок! )))) А поэтому предлагаю вам чтение для души!

"Дамы и моды. Женщины династии Романовых на портретах известных живописцев" - Часть 1. Часть 2. Часть 3. Часть 4.

О судьбе загадочного живописца и прекрасного человека Павла Николаевича Филонова: часть 1 , часть 2 , часть 3