Найти в Дзене

ОПРЕДЕЛЕНИЕ ТЕНДЕНЦИИ И ПРОГНОЗИРОВАНИЕ

Тема: ИЗУЧЕНИЕ ДИНАМИЧЕСКИХ ПРОЦЕССОВ Задача-эталон №2 Определить тенденцию младенческой смертности и прогноз на 10-й год. Младенческая смертность (на 1000 живорожденных) Вывод: Аналитическое выравнивание по прямой позволило установить тенденцию роста младенческой смертности и рассчитать прогноз на 10-й год – 22,5 случаев на 1000 живорожденных. Общественное здоровье и здравоохранение, экономика здравоохранения. Занятия 4-5 курса Содержание канала
Оглавление

Тема: ИЗУЧЕНИЕ ДИНАМИЧЕСКИХ ПРОЦЕССОВ

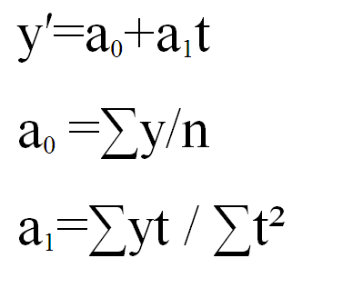
Задача-эталон №2

Определить тенденцию младенческой смертности и прогноз на 10-й год.

Младенческая смертность (на 1000 живорожденных)

-2
-3
-4
-5

Вывод: Аналитическое выравнивание по прямой позволило установить тенденцию роста младенческой смертности и рассчитать прогноз на 10-й год – 22,5 случаев на 1000 живорожденных.

Общественное здоровье и здравоохранение, экономика здравоохранения. Занятия 4-5 курса

Содержание канала