Добавить в корзинуПозвонить
Найти в Дзене

"Азотово семейство". Часть 5. И снова азотная кислота

Здравствуйте, уважаемые читатели! В прошлой статье мы упомянули, что некоторые свойства азотной кислоты зависят от концентрации ее раствора.
Изображение взято с pixabay.com
Изображение взято с pixabay.com

Здравствуйте, уважаемые читатели! В прошлой статье мы упомянули, что некоторые свойства азотной кислоты зависят от концентрации ее раствора.

Разберем сегодня особенности концентрированной азотной кислоты.

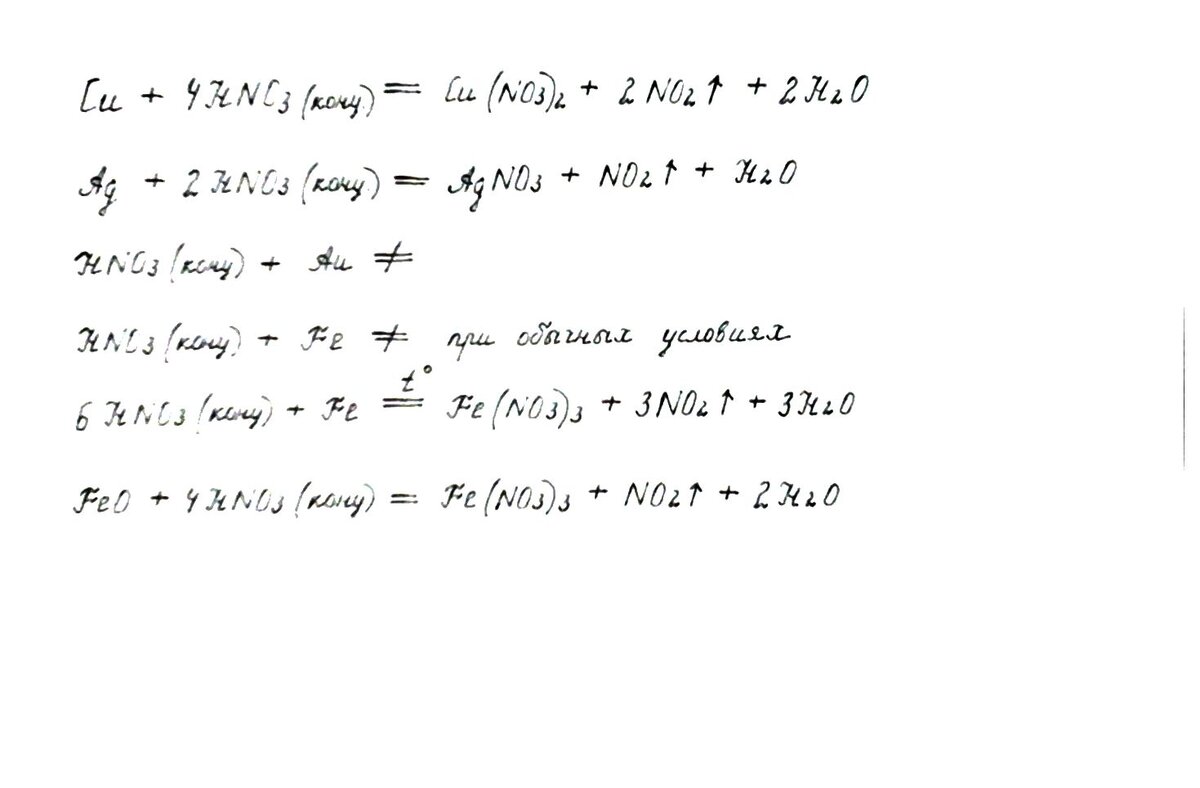
1) Реакции с металлами (в том числе и с металлами, стоящими в ряду напряжений правее водорода):

  • если металл активный (щелочной или щелочно-земельный), то в качестве продуктов получатся: соль (нитрат металла), вода и оксид азота (I). То есть вроде и металл активный, значит, хороший восстановитель, но "восстановить" концентрированную кислоту сложно, поэтому азот степень окисления +5 меняет лишь до +1;
  • если металл малоактивный (например, медь, серебро и другие тяжелые металлы), то в качестве продуктов образуются: соль (нитрат металла), вода и оксид азота (IV). Малоактивному металлу еще труднее восстановить концентрированную кислоту.

На золото, платину, тантал, барий азотная кислота не действует. Не взаимодействует она и с алюминием, хромом и железом, на поверхности этих металлов под действием азотной кислоты образуется защитная пленка, которая препятствует дальнейшей реакции. Тогда говорят, что металл пассивируется. Но здесь есть вот какой момент. При нагревании хром, железо и алюминий все же взаимодействуют с азотной кислотой.

-2

2) Реакции с неметаллами (например, с серой, фосфором, углеродом)

В этом случае продуктами взаимодействия станут: вода, оксид азота (IV) и вещество, в котором неметалл получит высшую свою степень окисления. Азотная кислота, да к тому же концентрированная, очень сильный окислитель, поэтому неметалл так "лихо" окисляется.

3) Реакции со сложными веществами. Такое вещество играет роль слабого восстановителя. Помните, с концентрированной азотной кислотой реагируют даже нерастворимые в воде сульфиды! Мы говорили об этом вот здесь - ссылка.

-3

Согласна, чтение это не слишком увлекательно порой, но что же делать? Без знания свойств веществ дальше в изучении предмета не продвинуться! Так что придется еще чуть потерпеть ))))

Как получают азотную кислоту в промышленности?

Процесс можно разделить на несколько частей. Все начинается с аммиака, а точнее с его окисления кислородом в присутствии катализаторов (в контактном аппарате).

Так аммиак превращается в оксид азота (II), который в свою очередь, опять же под действием кислорода, переходит в оксид азота (IV). Затем подхвативший "эстафету" оксид азота (IV) поглощается водой в атмосфере избытка воздуха.

-4

Азотная кислота используется в производстве удобрений, красителей, лекарств, в ювелирном деле. На предприятиях, работающих с азотной кислотой, очень важно соблюдать технику безопасности, ведь ее пары раздражают дыхательные пути, а растворы способны вызывать ожоги. Да еще и некоторые органические вещества (например, скипидар) могут самовоспламеняться, находясь рядом с азотной кислотой. Так что без порядка и внимательности никуда!

Спасибо, что дочитали и проявили внимание! А если вы интересуетесь историей, живописью и костюмами, то предлагаю вам рубрику "Дамы и моды" )))