Найти в Дзене

"Азотово семейство". Часть 3. Оксиды

Здравствуйте, дорогие мои читатели!
Все-таки азот - трепетный "отец" семейства, одних только "сыновей"-оксидов у него целых пять, различающихся между собой степенями окисления.
Изображение взято с pixabay.com
Изображение взято с pixabay.com

Здравствуйте, дорогие мои читатели!

Все-таки азот - трепетный "отец" семейства, одних только "сыновей"-оксидов у него целых пять, различающихся между собой степенями окисления. Попробуем разобраться в свойствах этих "братьев-близнецов" да, на самом деле, "неблизнецов" вовсе.

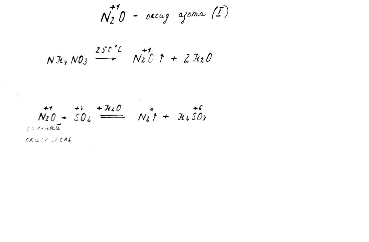
Оксид азота (I) - образуется при разложении нитрата аммония.

-2

Степень окисления атома азота в этом оксиде: +1. Оксид представляет собой бесцветный газ со слабым запахом. Не взаимодействует ни с кислотами, ни с основаниями, ни с водой.

Проявляет окислительные свойства, то есть в реакциях восстанавливается. Если в атмосферу такого оксида внести тлеющую лучинку, она вспыхнет.

Оксид азота (II) - также, как и его предыдущий "собрат" не вступает в реакции ни с основаниями, ни с кислотами, ни с водой и является бесцветным газом, мало растворимым в воде.

-3

Образуется, если при очень высокой температуре соединить между собой азот и кислород. Еще один способ его получения - растворение меди в разбавленной азотной кислоте.

За счет своей промежуточной степени окисления этот оксид имеет двойственный характер: то он восстановитель, то окислитель.

Оксид азота (II) крайне токсичен, ведь он способен изменять структуру гемоглобина - главного белка, ответственного за перенос в организме кислорода к органам и тканям.

На воздухе оксид "эн-о" окисляется, и вот уже миру является....

..... оксид азота (IV) - красно-бурый газ. Сильный окислитель. В реакциях с водой, щелочами диспропорционирует, то есть свою степень окисления и понижает, и повышает. Посмотрим на примерах:

-4

При охлаждении оксид азота (IV) удваивает свою молекулу и меняет агрегатное состояние: "брюки превращаются, превращаются брюки... в элегантные шорты", а точнее газ превращается в желто-коричневую жидкость.

При смешивании равных объемов "эн-о" и "эн-о-два" образуется оксид азота (III) - жидкость ярко-синего цвета. Этот оксид в сочетании с водой дает слабую азотистую кислоту, существующую только в растворе.

Сама азотистая кислота находится несколько в тени, но вот ее соли - нитриты - используют в производстве красителей и даже в пищевой промышленности для придания мясу определенного "свежего" оттенка. Нитриты соединяются с белком мышечной ткани - миоглобином, мясо приобретает красноватый цвет. Как говорится, "из песни слов не выкинешь".

И наконец, оксид азота (V) - белое кристаллическое вещество. Состоит по сути из структур-ионов. Очень нестабильное соединение, даже при комнатной температуре, не говоря уже про нагревание, распадается.

-5

Вот мы и "набросали" небольшие портреты каждого из пяти оксидов азота. Надеюсь, что статья будет для вас полезной!