Добавить в корзинуПозвонить
Найти в Дзене
Про математику

4 способа решить квадратное уравнение.

Всем привет, сегодня я покажу, как можно решить квадратное уравнение четырьмя способами.
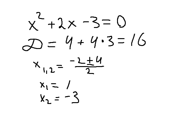
1) Дискриминант.
Ну я думаю все это его знают, здесь всё очевидно.
Этим способом я пользуюсь редко - тогда, когда корни иррациональные(их трудно вычислить с помощью теоремы Виета).
Оглавление

Всем привет, сегодня я покажу, как можно решить квадратное уравнение четырьмя способами.

1) Дискриминант.

Ну я думаю все это его знают, здесь всё очевидно.

-2

Этим способом я пользуюсь редко - тогда, когда корни иррациональные(их трудно вычислить с помощью теоремы Виета).

2) D/4 - чётный дискриминант.

Здесь вычисления будут проще, т.к. видим, что коэффициент b - четный, => здесь работает формула D/4

-3

Очень полезный способ, пригождается в основном в 17-ых задачах, где неизвестен процент, там нередко бывает трудно применить теорему Виета, а коэффициент b как раз четный.

3) Метод выделения полного квадрата, или как решают семиклассники.

Попробуем выделить полный квадрат у этого выражения:

-4

Для этого мы должны прибавить и отнять 1, от этого ничего не изменится:

-5

Видим, что у нас получился полный квадрат:

-6

Сворачиваем его.

-7

Перекидываем числа в правую часть

-8

Поскольку обе части уравнения неотрицательны, извлекаем из них корень, не забывая про эту совокупность

-9

Дело в том, что если мы возведем 2 и -2 в квадрат, мы получим 4, поэтому здесь и есть эта совокупность. Т.е представьте, вместо x+1 было допустим какой-нибудь a :

-10

Ну и решаем дальше получившуюся совокупность,

-11

4) Теорема Виета, очень крутой способ.

Мой самый любимый способ. т.к. позволяет угадать корни за каких-то пару секунд. Про неё я писал в этой статье.

-12

Числа, удовлетворяющие теореме Виета, равны -3 и 1, а значит они и есть корни.

Спасибо за просмотр, подписывайтесь на канал, ставьте лайки :)