Добавить в корзинуПозвонить
Найти в Дзене
Математика в школе

Показываю алгоритм построения любого графика функции

В статье показан алгоритм построения графика функции из ОГЭ второй части

Для многих учащихся, тема "Графики" и все что с ними связано, очень сложна и почти все как один говорит, что не понимает их. А на самом деле, все легко. Достаточно уметь выполнять простые арифметические действия. Если сравнивать задания из второй части ОГЭ по математике, то решить текстовую задачу, чаще бывает сложнее, чем построить график и ответить на вопрос. Сложность заключается в том, что задача требует размышления, правильного прочтения текста, и составление математической модели. При выполнения заданий на построение графиков, нужно всего лишь следовать алгоритму построения. Что можно описать конкретными шагами, то всегда легко.

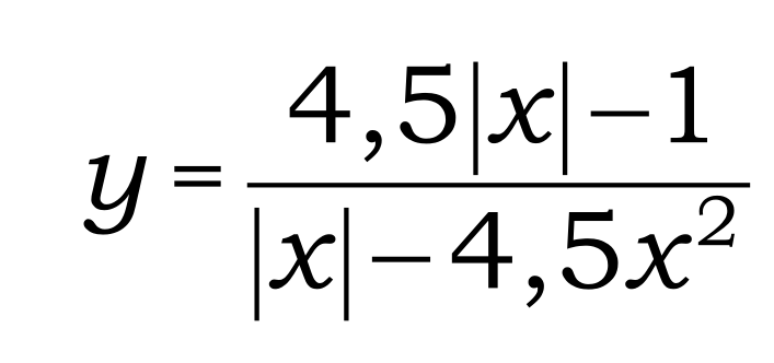
Разберем построение следующего графика функции и определим шаги для выполнения таких заданий.

Напишем алгоритм построения:

1) Находим ОДЗ функции, т.е. находим такие значения, при которых знаменатель дроби может превратится в ноль.

Расчет ОДЗ функции
Расчет ОДЗ функции

Как видим, функция не может принимать значения при х=0, х=2/9 и х=-2/9.

2) Упрощаем дробное выражение:

Упрощение дробного выражения
Упрощение дробного выражения

В итоге мы получаем простую функцию, которая называется - обратная пропорциональная зависимость (гипербола).

3) Применяем свойство модуля.

Нахождение координат графика функции
Нахождение координат графика функции

Когда мы выполнили раскрытие модуля, содержащего в функции, и нашли координаты точек для построения графика, можем уже построить график на координатной плоскости.

4) Строим график функции

График функции
График функции

Если на графике не будут указаны выколотые точки (черные пустые точки на графике), то график будет считаться не верным

5) Отвечаем на вопрос задания, находим параметр по графику. В данном задании нужно было ответить на следующий вопрос:

-6

Поскольку график функции y=kx, это график прямой пропорциональности, то он проходит через координату (0;0). Что бы прямая y=kx не имела с нашим графиком общих точек, то она должна проходить через выколотые точки, как это показано на рисунке красными линиями

-7

Осталось найти значения параметра K. Для этого, в прямую y=kx подставим координаты выколотых точек (2/9; -9/2) и (-2/9; -9/2).

Расчет значения параметра K
Расчет значения параметра K

В ответе получаем три значения параметра К. Третье значение К=0 соответствует прямой которая совпадает с осью Ох.

Итак, в алгоритме у нас получилось 5 шагов:

1) Находим ОДЗ функции.

2) Упрощаем дробное выражение функции

3)Раскрываем модуль по его свойству и находи точки для построения графика.

4) Строим график по точкам, которые нашли в пункте 3.

5) Находим параметр.

Так же разбор этого задания, вы можете посмотреть ниже:

Спасибо, что прочитали. Вы меня очень поддержите, если поставите лайк и подпишитесь на мой блог.