Найти в Дзене

"Азотово семейство". Часть 4. Азотная кислота

Она бесцветная. Она дымящаяся на воздухе. Она желтеющая при хранении. Она легкокипящая (при температуре 83 градуса). Она хорошо растворима в воде. Она очень сильный окислитель. Кто же эта дама?
Изображение взято с pixabay.com
Изображение взято с pixabay.com

Она бесцветная. Она дымящаяся на воздухе. Она желтеющая при хранении. Она легкокипящая (при температуре 83 градуса). Она хорошо растворима в воде. Она очень сильный окислитель. Кто же эта дама?

Это азотная кислота!

Та, которую когда-то получил Иоганн Глаубер, действуя на твердый нитрат калия концентрированной серной кислотой. В результате реакции образовались пары азотной кислоты. Конденсируясь, они превращались в жидкость.

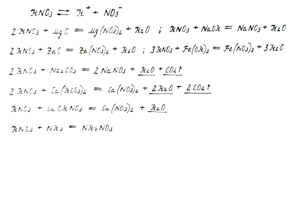
Для азотной кислоты не чуждо ничто "кислотное". Это взаимодействие с такими "агентами", как:

  • основные оксиды и гидроксиды;
  • амфотерные оксиды и гидроксиды;
  • аммиак (у него ведь тоже есть основные свойства);
  • соли (только при условии, что как минимум одним из продуктов будет осадок, газ или слабый электролит).

Ах да, забыла сказать, что в растворах азотная кислота ведет себя как сильный электролит, то есть почти полностью распадается на ионы.

-2

Другие свойства азотной кислоты зависят от ее концентрации (а концентрированным считается 68 %-ный и выше раствор).

Свойства разбавленной азотной кислоты.

1) Взаимодействие с металлами (даже с теми, которые в ряду напряжений находятся правее водорода). Кислота играет роль окислителя, металл - восстановителя. Продукт реакции зависит от активности самого металла (насколько сильным этот металл будет восстановителем):

  • если металл активный, то есть хороший восстановитель для атома азота (например, щелочные, щелочно-земельные, цинк, железо), то продукты - соль (нитрат металла), вода и соединение азота со степенью окисления -3;
  • если металл малой активности (например, медь и другие тяжелые металлы), то продукты - соль (нитрат металла), вода и оксид азота (II).

2) Взаимодействие с неметаллами. Неметалл - очень слабый восстановитель, он окисляется в продукт - кислоту, где данный неметалл получает свою высшую степень окисления. Еще один продукт - оксид азота (II).

3) Взаимодействие с солями-восстановителями.

-3

Свойства концентрированной азотной кислоты мы рассмотрим в следующей части, чтобы не мешать все в кучу и не запутаться.

Спасибо за внимание!