Найти в Дзене

Упрощение дробно-иррациональных алгебраических выражений. Часть 1

В статье рассматриваются методы преобразования дробно-иррационального алгебраического выражения, приводящие к его упрощению.

Несмотря на то, что данная тема является частью основного "базового" курса математики средней школы, методы использующиеся при различных преобразованиях алгебраических выражений, являются основой, таких, казалось бы, "сложных" тем как нахождение сложных производных, различных видов интегралов, решении дифференциальных уравнений, которые являются элементами курса высшей математики. Именно поэтому мне хотелось как можно более подробно рассмотреть методы алгебраических преобразований, использующихся при упрощений данного вида выражений.

По своему опыту изучения математики я хорошо знаю, насколько бывает трудно и сложно решать различные математические задачи, когда нет соответствующих навыков применения различных алгебраических преобразований. которые увы, обычно упускают авторы различных пособий по математике, так как считают, что они заранее известны. В итоге тот, кто хотя бы раз серьезно хотел и старался научиться решать математические задачи, всегда сталкивается с одной и той же проблемой: в примере решения написаны две-три строки малопонятных преобразований, причем в очень сжатом виде : "имеем; получаем , тогда ..." В результате учащийся пытается безуспешно угадать, что же делал автор в своей голове, чтобы из одного выражения получить второе, затем, третье и в итоге результат решения. Естественно из этого ничего не получается, учащийся чувствуют себя " глупым" и "малоспособным" и быстро теряет интерес к предмету. Иногда складывается впечатление, что весь курс математики ( как школьный, так и ВУЗовский) написаны специально сложным и малопонятным языком, чтобы уничтожить всякий интерес к дальнейшему изучению, такой важной науки как математика. Кто знает? Может быть это и так... Я общалась со многими учеными- математиками, большинство из них люди очень гордые и высокомерные и не имеют никакого желания открывать " тайны" своей высокой науки "простым" людям.

Именно поэтому у меня и возникла потребность постараться по мере сил, описать хотя бы ту незначительную часть приемов решения математических задач, которой мне удалось овладеть.

Итак перейдем к нашей первой задаче:

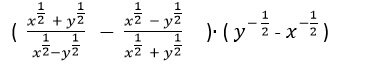
Упростить:

Первое, что необходимо сделать - правильно определить порядок действий. В данном примере он очевиден: сначала необходимо произвести вычитание дробных выражений в первых скобках, далее произвести умножение на выражение во вторых скобках.

Теперь необходимо определить какие преобразования необходимо выполнить, прежде чем приступить к вычитанию дробных выражений в первых скобках. Очевидно необходимо записать степень ½ в виде радикала (корня), тогда выражения в скобках примет следующий вид:

-2

Теперь необходимо найти общий знаменатель и выполнить вычитание, как и в случае с обычными дробями. Общим знаменателем будет:

-3

Домножим числители каждой дроби на соответствующий сомножитель общего знаменателя:

-4

Далее перемножаем выражения, стоящие в числителе в квадратных скобках:

-5

Раскрываем скобки и приводим подобные члены:

-6

Получаем следующий результат:

-7

В заключение, необходимо, полученное дробное выражение умножить на выражение

-8

Преобразуем данное выражение, представив каждый одночлен в виде дроби, чтобы избавиться от отрицательной степени:

-9

Может возникнуть вопрос- на чем основано данное преобразование, приводящее к смене отрицательного знака степени на положительный? На чем базируется данное преобразование? Данное преобразование основано на утверждении, что

-10

( где a, n-числа). Действительно, если подставить число, например <5> , то получим в итоге верное равенство :

-11

Обычно подобные преобразования считаются абсолютно очевидными, поэтому их использование считается и поэтому в решениях не приводятся.

Далее для удобства дальнейших преобразований представим степень ½ в виде радикала ( корня):

-12

Теперь можно выполнить умножение полученного ранее результата вычитания дробных выражений в первых скобках:

-13

на преобразованное нами выше выражение:

-14

тогда:

-15

Прежде чем выполнить вычитание дробей в скобках, находим общий знаменатель, который будет в данном случае иметь вид:

-16

Теперь, домножив числитель каждой дроби на соответствующий сомножитель получим:

-17

Числитель последней дроби можно сократить с сомножителем знаменателя первой дроби:

-18

тогда получим:

-19

Сокращая в числителе и знаменателе

-20

получаем итоговый результат упрощения заданного в условии выражения:

-21

Подводя итог проанализируем, какие преобразования привели нас к полученному результату.

1) Представление степени одночленов в первых скобках в виде радикалов ( корней);

2) Нахождение общего знаменателя для того, чтобы выполнить вычитание дробей в первых скобках;

3) Домножение числителя каждой дроби на соответствующий сомножитель

4)Приведение подобных членов в числителе полученной общей дроби;

5) получение результата вычитания;

6) Избавление от отрицательной степени одночленов во вторых скобках;

7)Представление степеней одночленов в виде радикалов;

8) Нахождение общего знаменателя, для произведения вычитания полученных дробей;

9) Домножение числителей дробей на соответствующие сомножители;

10) Умножение результата вычитания дробей в первых скобках на полученный результат вычитания во вторых скобках.

11)Сокращение подобных сомножителей в числителе и знаменателе первой и второй дроби

12) Получение итогового результата.

Все эти операции считаются очевидными и обычно не расписываются в математической литературе. Однако, от овладения этими операциями и их грамотного применения зависит сможет ли изучающий математику освоить эту важную и интересную науку, которая является основой современных естественных наук, без которых был бы невозможен ни какой прогресс, ни те технические устройства без которых немыслим быт и жизнь современного человека.

Какой бы раздел «высшей математики» мы не рассматривали – нахождение частных производных, различных видов интегралов, дифференциальных уравнений методы «упрощения» алгебраических выражений, всегда так или иначе используются во всех преобразованиях. Именно поэтому я хотела бы начать именно с этой темы. Без нее невозможно овладеть серьезно ни методами нахождения производных, ни нахождения интегралов, ни тем более решения дифференциальных уравнений, являющихся основой для создания любых моделей процессов и явлений окружающего нас физического мира.

Казалось бы, какое ко всему этому имеет отношение, приведенное выше алгебраическое выражение, которое мы упрощали ?! Дело в том, что оно могло быть какой-нибудь функцией, которая описывала бы какую либо поверхность или распределение какого либо физического поля ( например, при взаимодействии различных молекул биологически активных веществ с активным центром белкового субстрата- рецептора).

Надеюсь, что изложенный мной материал по упрощению заданного алгебраического выражения был полезен. Если у Вас возникли вопросы по изложенному материалу, или есть вопросы по другим примерам из курса по преобразованиям алгебраических выражений, пишите в комментариях, буду рада разобрать и ответить.

Далее я продолжу описывать методы упрощения как рациональных и так и дробно-иррациональных алгебраических выражений параллельно описывая методы решения более сложных задач связанных с нахождением частных производных, различных видов интегралов, решения дифференциальных уравнений, а также методы решения систем линейных алгебраических уравнений методами высшей алгебры методом Жордана-Гаусса, матричным методам, по формулам Крамера.