Найти в Дзене
Один

Нейронная сеть, объяснение на пальцах

Серые клетки головного мозга состоит из клеток, называемых нейронами. Их великая сила заключается во взаимосвязанности. Нейрон получает много стимулов и посылает свою реакцию на них другим. Социальные сети, в каком-то смысле, похожи на серые клетки. Невероятно, насколько просты компоненты этого удивительного объекта, который, хотя и находится в миллиардах образцов, еще не изучен и объяснен научно. Основным компонентом серой коры головного мозга является клетка, которая может быть исследована современными методами визуализации до уровня отдельных молекул. Мы знаем, что она получает много стимулов от других нейронов, оценивает их и передает им на основе этого сигнала, который затем захватывается рядом других нейронов. Математическая модель Один из способов понять активность мозга заключается в изучении упрощенной математической модели нейронов и их связей. Нейроны соединены друг с другом и передают сигналы. При этом, каждый нейрон может иметь несколько входов, но только один выход (но эт

Серые клетки головного мозга состоит из клеток, называемых нейронами. Их великая сила заключается во взаимосвязанности. Нейрон получает много стимулов и посылает свою реакцию на них другим. Социальные сети, в каком-то смысле, похожи на серые клетки.

Невероятно, насколько просты компоненты этого удивительного объекта, который, хотя и находится в миллиардах образцов, еще не изучен и объяснен научно.

Основным компонентом серой коры головного мозга является клетка, которая может быть исследована современными методами визуализации до уровня отдельных молекул. Мы знаем, что она получает много стимулов от других нейронов, оценивает их и передает им на основе этого сигнала, который затем захватывается рядом других нейронов.

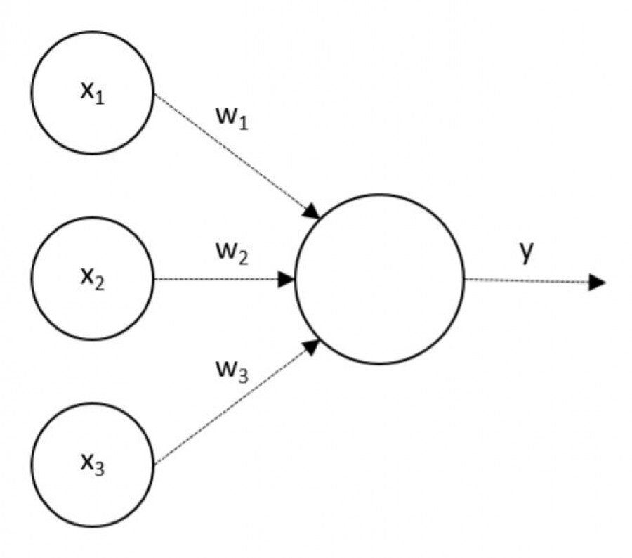
Математическая модель

Один из способов понять активность мозга заключается в изучении упрощенной математической модели нейронов и их связей.

Нейрон принимает много информации, анализирует и передает одну.
Нейрон принимает много информации, анализирует и передает одну.

Нейроны соединены друг с другом и передают сигналы. При этом, каждый нейрон может иметь несколько входов, но только один выход (но этот выход также может быть отправлен в более чем один другой нейрон). Вход нейрона может быть либо выходом из другого нейрона или информации извне (сигналы датчиков зрения, слуха и т.д.). Каждый вход имеет определенный вес (на фото w1, w2, w3)

Таким образом, можно построить сложную иерархическую структуру и изучить ее поведение. Такая структура называется нейронной сетью. К примеру, мы хотим, чтобы сеть узнала букву А, когда мы ее "покажем". Давайте попробуем установить некоторые весы w1 к w.... x только после многих попыток "обучить" сеть так, чтобы она можно была распознавать букву А, даже немного размытую или слегка деформированную.

Конечно, такая модель может быть сделана из простых электронных компонентов, но там мы ограничены пространственно: для того, чтобы сеть показала интересные результаты, она должна содержать большое количество элементов. Такую сеть можно моделировать на обычном персональном компьютере.

Человеческое сообщество – до интернета

Человеческое сообщество имеет ряд элементов- то есть людей - в некоторой степени сопоставимых с количеством нейронов в серой коре головного мозга. Люди постоянно взаимодействуют друг с другом, в том числе передавая информацию. Наиболее распространенным сообщением является голос, в пределах слухов. У нас есть телеграф и телефон, которого достаточно для случайной связи даже между континентами. Это относительно дорого, и такая связь используется только для передачи действительно важной информации.

Уже имеются средства для передачи более важной информации, охватывающей большие территории, но это лишь аналоговая передача: радио, телевидение, пресса. Важность лиц, распространяющих информацию в этот "коммуникационный период", превосходит обычных людей, которые зависят от получения такой информации. Книги читаются выборочно, иногда очень тщательно, радио и телевидение дают своего рода картину того, что происходит в мире. Любой, кто хочет дать людям идею, как идеологию, должен получить доступ к одному из этих каналов. Это не просто, не все ломают барьеры. Люди выбирают между ограниченным числом авторов книг, они знают, к кому обратиться для развлечения и чему учиться. Фильм и ряд других средств массовой информации также имеют небольшие объемы вещания. Через книги люди смогли передать и привить целую сложную идеологию, такую как Марксизм.

Его Величество Интернет

Простая электронная почта была одной из первых услуг, предоставляемых Интернетом после того, как она была опубликована для общественности. Вместо дорогого и крайне непрактичного телеграфа (кто помнит, что такое телеграмма сегодня?), человек настучал сообщение в свой компьютер, и он может отправить целой группе людей. Это уже начинает напоминать модель нейронной сети. Один человек получает ряд сообщений, а другие могут поделиться с друзьями. Или, получив несколько различных сообщений на одну и ту же тему, он решает составить свою собственную версию, которую затем отправляет своим друзьям.
Затем
Марк Цукерберг придумал свою сеть взаимодействия, и связь между людьми стала расти лавинообразно. Каждый участник стал засыпаться большим объемом информации, поступающих по различным каналам, пока он не перестал различать, какая информация важна для него, а какая нет. Сеть людей, связанных его страницей в Facebook, начинает напоминать мозг новорожденного, который имеет отдельные нейроны, соединенные «сборной» сетью невероятно сложных связей. Беда в том, что эта сеть не «обучена», как искусственная нейронная сеть, для которой не установлены шкалы для отдельных входов.

А как же сеть homo sapiens? Человек здесь, довольно примитивен, как один нейрон. Важно то, как все люди корректировали входные сигналы. Вопрос в том, как человек обрабатывает свои входные данные, это следует рассматривать в качестве вопроса для всей сети. Процесс оценки входных данных более или менее механический, как и с реальным нейроном. Конечно, вполне возможно, что некоторые люди будут оценивать свои входы по-другому, чем обычно.

Сеть практикуется постепенно, а иногда и болезненно. Так же, как ребенок учится ходить, связи между нейронами его мозга настроены так, что маленькое существо не только поддерживает равновесие, но и способен избежать препятствий, поэтому коммуникационная сеть людей настроена, мысли, влитые в нее, вызывают во взаимодействии всю сеть установки входов некоторых принимающих людей.

https://pixabay.com/ru/
https://pixabay.com/ru/

Социологический взгляд

Петр Хэмбл в своей книге Breaking the Walls обращает внимание на фундаментальные изменения, которые произошли в результате коммуникационной революции.

Даже в прошлом, человек мог быть частью какой-то разъяренной толпы. Но потом он вернулся домой, он был один, и он мог бы начать задавать вопросы, как "Что есть я?", "К чему это приведет?" Сегодня такого нет. Люди до сих пор в мобильных телефонах, они все еще в сети, они все еще мысленно часть толпы ".

Это подводит нас к вышеупомянутой сети, на заре интернета, которые еще не установили вес на их входы. Сеть находится на ранней стадии обучения.

Если аналогия с сетью нейронов в головном мозге была верной и на самом деле работает, то можно было бы ожидать, что сеть будет медленно учиться "думать" по-своему, не привознося каких-либо лидеров или ведущих мыслителей на вершину революционных движений.

Подписывайтесь на мой канал чтобы не пропустить ничего интересного. Комментируйте и делитесь информацией. В споре рождается истина.

Спасибо что читаете.