Добавить в корзинуПозвонить
Найти в Дзене

Все о кристаллогидратах и растворах на примере одной 27-й задачи ЕГЭ по химии 2021!

Вы хотите познавать химию и профессионально, и с удовольствием? Тогда вам сюда! Автор методики системно-аналитического изучения химии Богунова В.Г. раскрывает тайны решения задач, делится секретами мастерства при подготовке к ОГЭ, ЕГЭ, ДВИ, олимпиадам
Хочешь сдать ЕГЭ по химии и биологии на 90+? WhatsApp репетитора Богуновой В.Г. +7(903)186-74-55
Сайт репетитора Богуновой В.Г.
Репетитор Богунова

Вы хотите познавать химию и профессионально, и с удовольствием? Тогда вам сюда! Автор методики системно-аналитического изучения химии Богунова В.Г. раскрывает тайны решения задач, делится секретами мастерства при подготовке к ОГЭ, ЕГЭ, ДВИ, олимпиадам

Хочешь сдать ЕГЭ по химии и биологии на 90+? WhatsApp репетитора Богуновой В.Г. +7(903)186-74-55

Сайт репетитора Богуновой В.Г.

Репетитор Богунова В.Г. ВК

Ютуб-канал репетитора Богуновой В.Г.

Полный каталог статей - на авторском сайте в разделе "Статьи репетитора Богуновой В.Г."

Самое интересное, как всегда, в конце статьи!

Кристаллогидраты ассоциируются у меня с изумительно красивыми узорами, образованными разноцветными кристалликами льда. Зимой они украшают задачи по химии, как игрушки новогоднюю елку. Летом охлаждают жаркие баталии, разыгравшиеся на поле битвы алгоритмов.

Что же это за звери такие, кристаллогидраты? Как решать задачи, участниками которых они являются?

Опытному химику ничего объяснять не нужно, но ежегодно в наши ряды вливаются тысячи желторотиков, которые только начинают познавать секреты мастерства. Для них - моя статья.

Кристаллогидраты - вещества, содержащие в своем составе молекулы воды. Отсюда и название: "кристалл" (вещество) + "гидрат" (вода).

Кристаллизационная вода - вода, входящая в состав кристаллогидрата.

Систематическое название кристаллогидрата включает: компоненту воды (с указанием числа молекул) и компоненту соли. Многие кристаллогидраты имеют тривиальные названия (их желательно помнить)

Более подробно о кристаллогидратах вы можете прочитать в статьях:

Все, что вы хотели знать о кристаллогидратах, но стеснялись спросить. 1. Извлекаем безводную соль

Все мы немножко алхимики. 2. Восстанавливаем кристаллогидрат по безводной соли и... худеем по Глауберу

Тайны авторского алгоритма. 3. Кристаллогидраты и растворы

На днях мои ученики покаазали мне одну из 27-х задач Тренировочной работы для подготовки к ЕГЭ по химии 2021. Как вы догадались, там были именно кристаллогидраты. Ребята очень просили написать статью с авторским анализом представленной задачи, поскольку Тренировочный КИМ не опубликовал ни решения, ни даже ответа.

Задача 27 (Тренировочный КИМ ЕГЭ 2021)

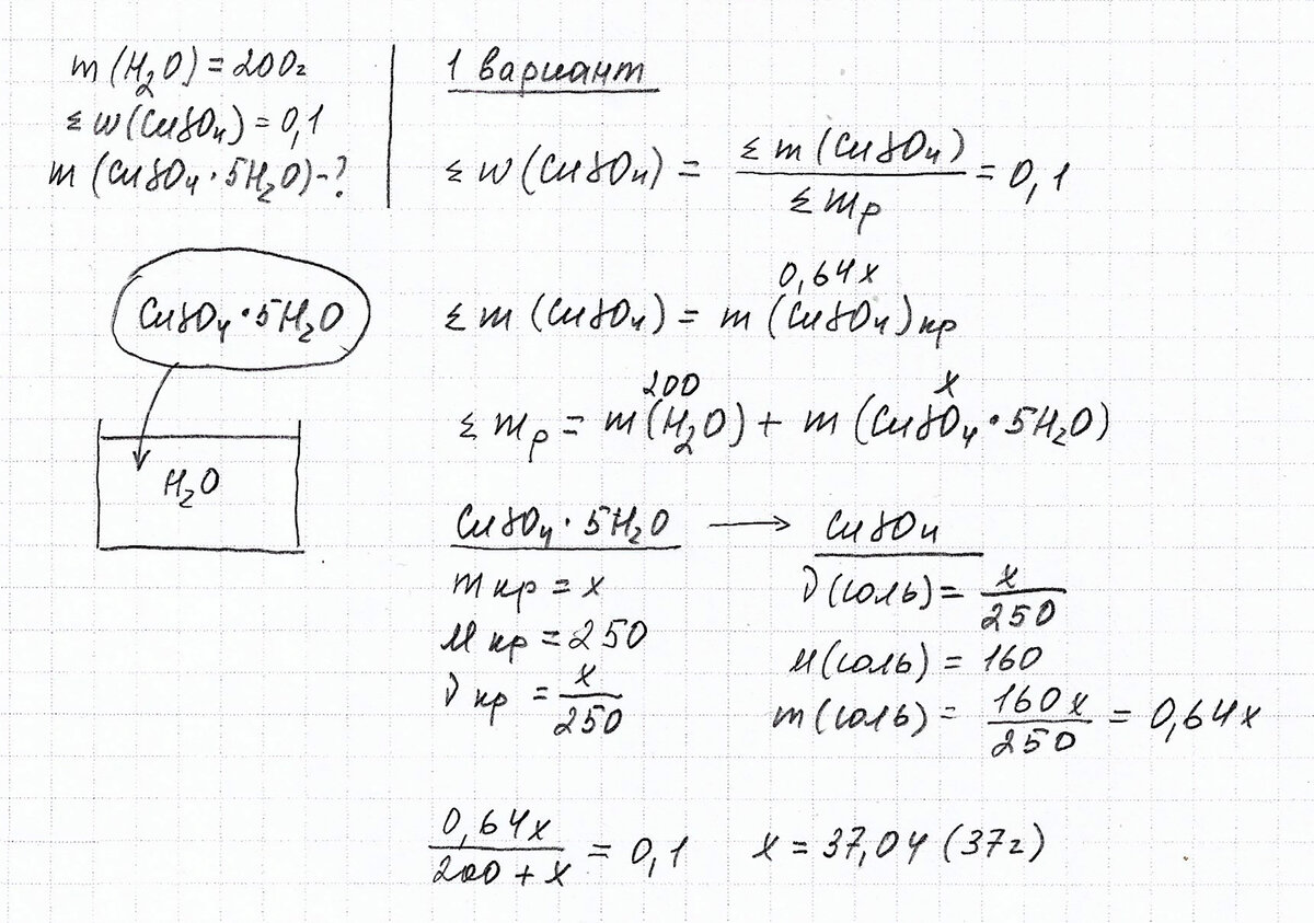
Сколько граммов медного купороса CuSO4•5H2O надо растворить в 200 г воды, чтобы получить 10 %-й раствор сульфата меди? Ответ запишите с точностью до целых.

Задача на приготовление растворов может быть решена двумя вариантами - с использованием классического авторского алгоритма Σധ и правилом креста.

1 вариант решения (авторский алгоритм Σധ)

27-я задача ЕГЭ по химии. Решает репетитор Богунова В.Г.
27-я задача ЕГЭ по химии. Решает репетитор Богунова В.Г.

Авторский алгоритм решения задач на растворы освещен в статьях:

Решаем задачи на растворы! 13.1 Загадочная Σധ (авторский универсальный алгоритм)

Кошмарные задачи на растворы. 13.2 Определение компонента системы по Σധ

2 вариант решения (правило креста)

27-я задача ЕГЭ по химии. Решает репетитор Богунова В.Г.
27-я задача ЕГЭ по химии. Решает репетитор Богунова В.Г.

О правиле креста, его всевозможных вариантах применения и критериях использования вы можете прочитать в статье

ЕГЭ по химии 2020. Загадки технологии и секретные фишки правила креста

Конечно, приготовление растворов - это совершенно не сложный раздел. Впереди нас ожидает еще очень много интересного - и реакции в растворах, и растворимость, и... Впрочем, это уже совсем другая история!

Понравилась статья? Скоро будет продолжение. Самое интересное, как всегда, впереди! Успехов и удачи! До встречи на Яндекс Дзен! Не забывайте подписаться на мой канал и поставить лайк!

Репетитор по химии и биологии кбн В.Богунова