Найти в Дзене
ПатронташЪ

7,62х51 / Охотничий винтовочный патрон .308 Winchester

Длина патрона: 71,12 мм
Масса патрона: 24 г
Диаметр пули: 7,85 мм
Масса пули: 9,7 г

Длина патрона: 71,12 мм
Масса патрона: 24 г
Диаметр пули: 7,85 мм
Масса пули: 9,7 г
Длина гильзы: 51,18 мм
Диаметр дульца гильзы: 8,72 мм
Диаметр фланца гильзы: 12,01 мм
Начальная скорость: 790÷860 м/с

По окончанию второй мировой войны правительство США заключило контракты с компаниями Remington Arms и Winchester на разработку нового винтовочного патрона для замены состоящего на вооружении патрона .30-06 Springfield. С точки зрения баллистики к этому патрону не было нареканий, но его длинная гильза не позволяла создать эффективные варианты автоматического оружия. Проведя серию экспериментальных работ с патроном .300 Savage в конце 40-х годов, специалистами Winchester и Frankford Arsenal был разработан опытный патрон
Т65 калибра 7,62-мм с гильзой длиной 47 мм, в ходе модернизации которого был разработан финальный вариант патрона – Т104 с латунной гильзой длинной 50,82 мм.

В 1952 году данный патрон под обозначением .308 Winchester был выведен компанией Winchester на гражданский рынок США вместе с адаптированными под него моделями ружей Winchester Model 70 и Model 88.

Несмотря на идентичность габаритов, патроны .308 Win и 7,62х51 НАТО не взаимозаменяемы. К патронам предъявляются различные требования по давлению. Для армейских патронов значение максимального давления не превышает 399 МПа (а оружие проходит испытания с патронами высокого давления 461,9 МПа), согласно стандартам SAAMI/ANSI максимальное давление для патронов .308 Win не должно превышать 427 МПа (а для испытательных патронов – 600 МПа). Стенки гильзы армейского патрона имеют несколько большую толщину, а используемые при производстве гильз марки латуни не предполагают последующего переснаряжения стреляных гильз.

Выпуск спортивно-охотничьих патронов в данном калибре был освоен во многих странах мира с различными типами пуль. В зависимости от типов пуль и их массы, начальная скорость колеблется в пределах 790÷860 м/с.

Патроны СССР и России

В 70-х годах прошлого века в СССР специалистами ЦНИИТОЧМАШ была начата отработка охотничьего патрона калибра 7,62х51 мм, аналога западному патрону .308 Winchester. Серийный выпуск патрона был освоен в 1974 году (ГОСТ 21169-75). Под этот патрон в СССР выпускались карабины «Медведь-3» и «Лось-4».

Патроны 7,62х51А выпускались с латунными гильзами и снаряжались пулями SP массой 9,7 грамма.

Так как советские патроны создавались путём обмера натурных образцов импортного производства, отечественные патроны оказались не взаимозаменяемы с патронами импортного производства.

В 90-х годах выпуск охотничьих патронов данного калибра осуществляли Новосибирский патронный завод, Барнаульский патронный завод и Тульский патронный завод.

В 90-х года для выхода на импортный и внутренний рынки российскими заводами был освоен в производстве патрон 7,62х51М по габаритам гильзы соответствующий импортным образцам. До середины 90-х годов отечественные патронные заводы выпускали патроны 7,62х51М с пулями SP имеющие общую длину не более 68 мм и по этому параметру не удовлетворяли требованиям CIP. В середине 90-х годов в производстве были освоены патроны длиной не более 71,12 мм, соответствующие требованиям по безопасности CIP, после чего патроны нового выпуска стали не взаимозаменяемы для карабина «Вепрь-51», магазин которого был рассчитан на патроны длиной 68 мм.

В 1996 году ЦНИИТОЧМАШ был налажен выпуск испытательных патронов 7,62х51 (УЗ) и 7,62х51М (УЗ) по ТУ 7272-011-07516043-96 и ТУ 7272-012007516043-96 для использования в технологических целях при производстве оружия с нарезным стволом.

Патроны советского выпуска не имели донной маркировки гильз и выпускались только с латунными гильзами. Патроны российского производства стали маркировать с указанием калибра боеприпаса (7,62х51). Барнаульский патронный завод освоил выпуск патронов со стальной гильзой в варианте с оцинковкой и фосфатно-лаковым покрытием. Новосибирский патронный завод выпускает патроны с латунной и биметаллической гильзами. Тульский патронный завод осуществляет выпуск патронов со стальной гильзой с фосфатно-лаковым и фосфатно-полимерным покрытием под марками WOLF (ранее) и Tulammo. В 2000-х годах на биметаллических гильзах Новосибирского патронного завода стали выполнять кольцевую накатку ближе к основанию гильзы, использование которой помогает уменьшению задержек при стрельбе связанных с тугой экстракцией.

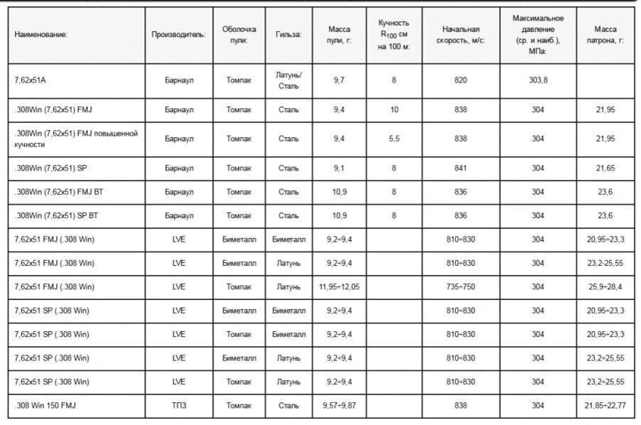
Характеристики патронов российского производства
Характеристики патронов российского производства
Чертёж патрона .308 Winchester.
Чертёж патрона .308 Winchester.

Понижение траектории полета пули патронов калибра 308Win от НПЗ

-4
-5
http://www.lveplant.ru/new_ru.php?id_news=41
http://www.lveplant.ru/new_ru.php?id_news=41

Стоимость: ~ 50 руб