Добавить в корзинуПозвонить
Найти в Дзене
DenoiseLAB

⁉️Нестандартные задачи № 39. Олимпиадные задачи. Рациональность и корни.

✨🎄🎉🎁✨🎄🎉🎁✨🎄🎉🎁✨🎄🎉🎁✨🎄✨🎄🎉🎁✨🎄✨🎄🎉
👋Ребята всем привет!!!
🦾Продолжаем рассматривать олимпиадные задачи, различной степени сложности.
👉Когда ставиться вопрос о наличии в уравнении рациональных/иррациональных чисел, это сразу добавляет работы в реализации задачи.

👋Ребята всем привет!!!

💹Олимпиадные заадчи это всегда головоломка (Фото: https://foter.com)
💹Олимпиадные заадчи это всегда головоломка (Фото: https://foter.com)

🦾Продолжаем рассматривать олимпиадные задачи, различной степени сложности.

🦾Когда ставиться вопрос о наличии в уравнении рациональных/иррациональных чисел, это сразу добавляет работы в реализации задачи.

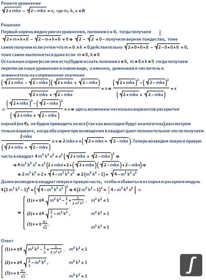
🦾Количество вариантов, которое необходимо рассмотреть разрастается, как листья на деревьях. Также необходимо учитывать иррациональность корней. Пример такой задачи приведен на фото:

Олимпиадная задача, всегда не так проста как кажется
Олимпиадная задача, всегда не так проста как кажется

✨🎉🔥⚡️☄️💥🌟❄️🌨☃️✨🎉🔥⚡️☄️💥🌟❄️🌨☃️⚡️☄️💥🌟❄️⚡️☄️

📌Подписывайтесь на наш канал, делитесь новостями со всеми, ставьте лайки поддерживайте наш канал, пишите комментарии. Ваш ВышМат
По вопросам сотрудничества писать на почту - решение задач (математика/высшая математика), контрольных курсовых, репетиторство, подготовка к ЕГЭ - сообщество в контакте: https://vk.com/mironovviyshmat

‼️‼️‼️Также напоминаю что у нас есть еще один интересный канал про GameDev и компьюбтерные игры его можно посмотреть
здесь .

✨🎉🔥⚡️☄️💥🌟❄️🌨☃️✨🎉🔥⚡️☄️💥🌟❄️🌨☃️⚡️☄️💥🌟❄️⚡️☄️