Добавить в корзинуПозвонить
Найти в Дзене
Как ты считаешь?

Как работают степени

Привет!
Давно встречался со степенями чисел?
Вот основные свойства, которые помогут при работе с ними:
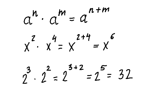
1) При умножении степени складываются
Оглавление

Привет!

Давно встречался со степенями чисел?

Вот основные свойства, которые помогут при работе с ними:

1) При умножении степени складываются

Первое свойство
Первое свойство

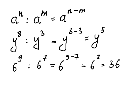
2) При делении степени вычитаются

Второе свойство
Второе свойство

3) Степень в степени? Умножаем!

Третье свойство
Третье свойство

4) А если степень со знаком "минус"?

В таком случае тоже есть свойство, действует оно так:

Переверни число и его степень поменяет знак на противоположный
Переверни число и его степень поменяет знак на противоположный

Есть одно НО!

Эти свойства работают только тогда, когда числа содержащие степени одинаковые.(Основания должны быть одинаковыми)

Например:

Основания были разными числами, поэтому преобразуем в равные.
Основания были разными числами, поэтому преобразуем в равные.

Вот таким образом работают степенные выражения.

Жду ваших вопросов.

Всем успехов!