Найти в Дзене
DenoiseLAB

⁉️Нестандартные задачи № 36. Лагранж, Лагранж...

✨🎄🎉🎁☃️🎊❄️✨🎄🎉🎁☃️🎊❄️✨🎄🎉🎁🎊❄️✨🎄🎉🎁☃️🎊❄
⁉️Нестандартные задачи № 36. Дифференциальное уравнение Лагранжа.
👋Ребята всем привет!!! Продолжаем исследование мира дифференциальных уравнений на очереди уравнение Лагранжа.
👉Оно как и предыдущий пример решается через параметр, в итоге приходим к простому дифференциальному уравнению первого порядка, для которого необходимо сначала найти общее

👋Ребята всем привет!!!

💹Да, именно такое лицо делаешь когда начинаешь решать очередную не самую понятную задачу (Фото: https://foter.com)
💹Да, именно такое лицо делаешь когда начинаешь решать очередную не самую понятную задачу (Фото: https://foter.com)

👉Продолжаем исследование мира дифференциальных уравнений на очереди уравнение Лагранжа. Оно как и предыдущий пример решается через параметр, в итоге приходим к простому дифференциальному уравнению первого порядка, для которого необходимо сначала найти общее решение, затем частное и в завершении получим полное решение уравнение.

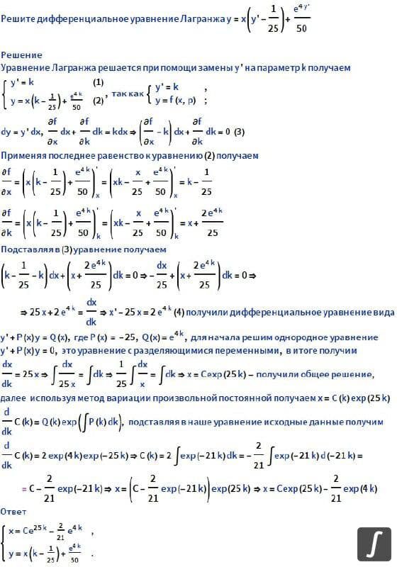
👉Ответ для уравнения Лагранжа записывается в виде системы из двух уравнений: относительно x(k) и y(k).

-2

✨🎉🔥⚡️☄️💥🌟❄️🌨☃️✨🎉🔥⚡️☄️💥🌟❄️🌨☃️⚡️☄️💥🌟❄️⚡️☄️

📌Подписывайтесь на наш канал, делитесь новостями со всеми, ставьте лайки поддерживайте наш канал, пишите комментарии. Ваш ВышМат
По вопросам сотрудничества писать на почту - решение задач (математика/высшая математика), контрольных курсовых, репетиторство, подготовка к ЕГЭ - сообщество в контакте: https://vk.com/mironovviyshmat

‼️‼️‼️Также напоминаю что у нас есть еще один интересный канал про GameDev и компьюбтерные игры его можно посмотреть
здесь .

✨🎉🔥⚡️☄️💥🌟❄️🌨☃️✨🎉🔥⚡️☄️💥🌟❄️🌨☃️⚡️☄️💥🌟❄️⚡️☄️