Добавить в корзинуПозвонить
Найти в Дзене
Про математику

Самый крутой лайфхак ЕГЭ по математике.

Я покажу очень полезный лайфхак, который позволит вам, за каких-то пару секунд, вычислить одну из сторон прямоугольного треугольника.
Лайфхак.
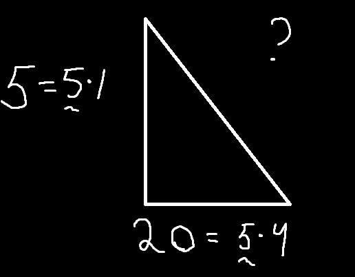
Посмотрим на вот такой прямоугольный треугольник,в нём нужно найти гипотенузу.
Для этого раскладываем стороны на множители так, чтобы у них появился общий множитель.
Оглавление

Я покажу очень полезный лайфхак, который позволит вам, за каких-то пару секунд, вычислить одну из сторон прямоугольного треугольника.

Лайфхак.

Посмотрим на вот такой прямоугольный треугольник,в нём нужно найти гипотенузу.

Для этого раскладываем стороны на множители так, чтобы у них появился общий множитель.

-2

Общий множитель 5, значит гипотенуза будет = 5 * корень из суммы квадратов НЕ общих множителей(это 1 и 4):

-3

Посмотрим теперь на другой прямоугольный треугольник.

-4

Раскладываем на множители 24 и 40 так, чтобы появился общий множитель, здесь это 8..

-5

Ну и теперь катет будет равен:

-6

Заметьте, здесь мы вычитаем, т.к. ищем не гипотенузу, а катет.

-7

Ну и напоследок найдем гипотенузу у треугольника 2-мя способами, c очень большими катетами, чтобы осознать всю МОЩЬ этого лайфхака.

-8

Делаем всё тоже самое.

150 это = 50 * 3,

450 это = 50 * 3 * 3,

Общий множитель : 50, НЕ Общие множители : это 3 и 9

-9

Значит, гипотенуза будет равна 50 * корень из суммы квадратов НЕ общих множителей.

-10

Дальше извлекаем корень из 90.

-11

А теперь сделаем 2-ым способом, чуть по быстрее.

Заметим, что

150 = 150 * 1

450 = 150 * 3

Общий множитель 150, не общие мнж. : 1 и 3.

-12

Ну и применяем лайфхак.

-13

Получаем тот же ответ, только быстрее.

Заключение.

Кому интересно, как доказывается лайфхак, попробуйте так же, как я говорил, разложить на множители, применить теорему пифагора, и вынести общий множитель за скобку - и получите этот самый лайфхак.

Или можете посмотреть вот эту статью, там это более подробно доказывается.

Спасибо за просмотр, подписывайтесь на канал.