Добавить в корзинуПозвонить
Найти в Дзене
DenoiseLAB

🔥🔥🔥Решение сложной параметрической системы!!!

⁉️Нестандартные задачи №4. Параметрическая система уравнений.
👋Ребята всем привет!!!
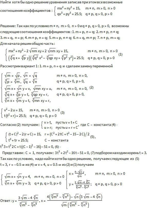
👍Разбираем олимпиадную задачу про решение параметрической системы уравнений. Задача полна различных рассуждений и подробна изложена. Приятного разбора.
📚🎒📙💼🧳🖌📚🎒📙💼🧳🖌📚🎒📙💼🧳🖌📚🎒📙💼🧳🖌

👋Ребята всем привет!!!

㊗️Доказательство теоремы, решение задачи не всегда должно быть очень сложным, иной раз она представляет то, что уже хорошо изучено, требуется лишь небольшое усилие чтобы его разглядеть (Фото: https://pixabay.com)
㊗️Доказательство теоремы, решение задачи не всегда должно быть очень сложным, иной раз она представляет то, что уже хорошо изучено, требуется лишь небольшое усилие чтобы его разглядеть (Фото: https://pixabay.com)

👍Разбираем олимпиадную задачу про решение параметрической системы уравнений. Задача полна различных рассуждений и подробна изложена. Приятного разбора.

Любое доказательство можно всегда проверить на практике
Любое доказательство можно всегда проверить на практике

✨🎉🔥⚡️☄️💥🌟❄️🌨☃️✨🎉🔥⚡️☄️💥🌟❄️🌨☃️⚡️☄️💥🌟❄️⚡️☄️

📌Подписывайтесь на наш канал, делитесь новостями со всеми, ставьте лайки поддерживайте наш канал, пишите комментарии. Ваш ВышМат
По вопросам сотрудничества писать на почту - решение задач (математика/высшая математика), контрольных курсовых, репетиторство, подготовка к ЕГЭ - сообщество в контакте: https://vk.com/mironovviyshmat

‼️‼️‼️Также напоминаю что у нас есть еще один интересный канал про GameDev и компьюбтерные игры его можно посмотреть
здесь .

✨🎉🔥⚡️☄️💥🌟❄️🌨☃️✨🎉🔥⚡️☄️💥🌟❄️🌨☃️⚡️☄️💥🌟❄️⚡️☄️