Добавить в корзинуПозвонить
Найти в Дзене
Д.З. Верняк

Виленкин, Жохов, Чесноков, Шварцбурд, Математика 6 класс Задание № 765.

Условие:
"Найдите значение выражений:"
Задание в учебнике
Начнём решать.
Оглавление

Условие:

"Найдите значение выражений:"

Задание в учебнике
Задание в учебнике

Начнём решать.

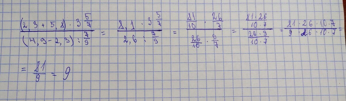
а) Первый пример на фоне остальных достаточно простой. Хотя бы потому, что вычитание в скобках можно легко произвести в уме. А про перенос знаменателя числителя вниз и знаменателя знаменателя вверх можно прочитать здесь.

Решение:

Результат - 9
Результат - 9

б) Здесь выражение посложнее. Но можно, постаравшись решить.

Решение:

Ответ - 30.
Ответ - 30.

в) Очень просто. Самое сложное - умножение 0,21 на 1,25.

Решение:

Ответ - 0,105
Ответ - 0,105

г) Сложение двух дробных выражений.

Решение:

Ответ - 3,85
Ответ - 3,85

Спасибо за просмотр! Подписывайтесь, ставьте лайк и рассказывайте о канале друзьям!