Найти в Дзене
Про математику

Умножение крест на крест/"правило бабочки" почему это работает? ЕГЭ, ОГЭ математика.

Всем привет, в этой статье я расскажу почему же работает так называемое "правило бабочки" в математике.
Для начала поймем одну простую вещь.
Равенство.
Представьте, у нас есть некоторое число, оно "равно само себе". Мы можем обе части равенства умножать, делить, прибавлять, вычитать на одно и тоже число.
Оглавление

Всем привет, в этой статье я расскажу почему же работает так называемое "правило бабочки" в математике.

Для начала поймем одну простую вещь.

Равенство.

Представьте, у нас есть некоторое число, оно "равно само себе". Мы можем обе части равенства умножать, делить, прибавлять, вычитать на одно и тоже число.

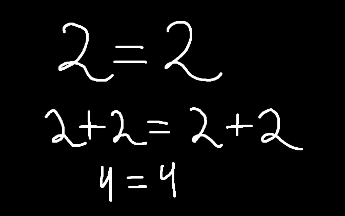
Допустим, есть число 2.

Прибавим на 2 обе части равенства.

-2

Как видим мы всегда будем получать верное равенства(Главное на 0 умножать не надо, иначе будете терять переменную).

"...обе части равенства умножать, делить, прибавлять, вычитать на одно и тоже число" - главное понимайте эту вещь.

Умножение крест на крест/"правило бабочки"

Возьмем такое равенство, оно верное, 4 * 4 = 16, 8 * 2 = 16, а 16=16:

-3

Теперь давайте обе части равенства разделим на 8.

-4

Теперь обе части равенства разделим на 4.

-5

И вот теперь мы получили тот самый "крест на крест".

-6

Так это будет выглядеть алгебраически:

-7

Спасибо за просмотр.