Добавить в корзинуПозвонить
Найти в Дзене
Всё сдам

Метод наименьших квадратов

Задание. Экспериментально получены несколько значений функции y=f(x) при нескольких значениях аргумента. Считая зависимость между x и y линейной, найдите методом наименьших квадратов приближенное уравнение функции в виде y=ax+b. Сделайте чертеж.
Решение:
Для оценки параметров a и b - используют МНК (метод наименьших квадратов). Метод наименьших квадратов дает наилучшие (состоятельные, эффективные

Задание. Экспериментально получены несколько значений функции y=f(x) при нескольких значениях аргумента. Считая зависимость между x и y линейной, найдите методом наименьших квадратов приближенное уравнение функции в виде y=ax+b. Сделайте чертеж.

Решение:

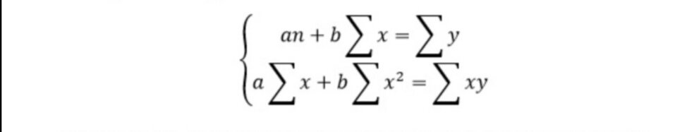
Для оценки параметров a и b - используют МНК (метод наименьших квадратов). Метод наименьших квадратов дает наилучшие (состоятельные, эффективные и несмещенные) оценки параметров уравнения регрессии. Система нормальных уравнений:

-2

Для расчета параметров регрессии построим расчетную таблицу.

-3

Для наших данных система уравнений имеет вид:

-4
-5

Получаем эмпирические коэффициенты регрессии: b = 0,51, a =3,061.

Уравнение регрессии :

y = 3,061 x + 0,51

-6