Добавить в корзинуПозвонить
Найти в Дзене
Д.З. Верняк

Виленкин, Жохов, Чесноков, Шварцбурд, Математика 6 класс Задание № 760. Отношения.

Условие:
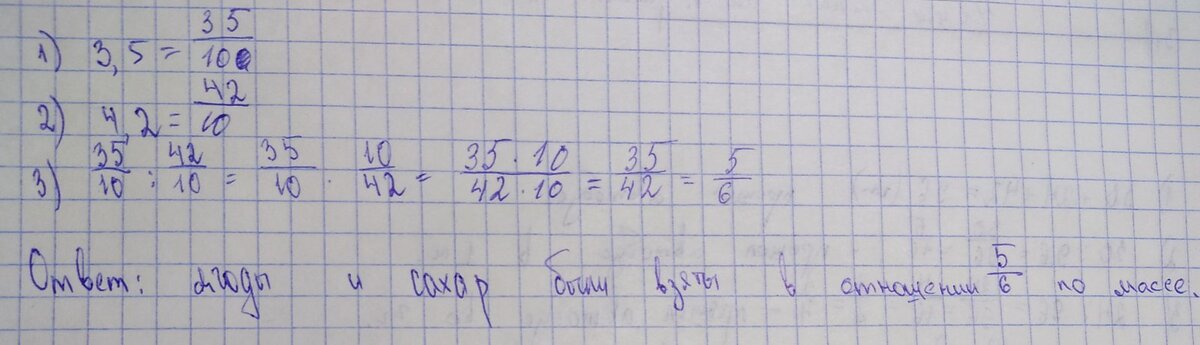
"Для варенья на 3,5 кг ягод было взято 4,2 кг сахарного песка. В каком отношении по массе были взяты ягоды и сахарный песок?"
Давайте сначала сделаем краткую запись:
Всё просто
Оглавление

Условие:

"Для варенья на 3,5 кг ягод было взято 4,2 кг сахарного песка. В каком отношении по массе были взяты ягоды и сахарный песок?"

Давайте сначала сделаем краткую запись:

Всё просто
Всё просто

Как решать? Тоже очень просто.

Можно, конечно, воспользоваться темой "Дробные выражения", домножать...

А можно просто:

Ответ: ягоды и сахар были взяты 5/6 по массе.
Ответ: ягоды и сахар были взяты 5/6 по массе.

Спасибо за просмотр! Подписывайтесь, ставьте лайк и рассказывайте друзьям о канале!