На самом деле, решить задачу номер 17 в ЕГЭ - проще, чем решить неравенство в номере 15.
Разделяю четыре типа задач 17:
1) простые. К ним отношу задачи на равные платежи. Вот ниже...
На самом деле, решить задачу номер 17 в ЕГЭ - проще, чем решить неравенство в номере 15.
Разделяю четыре типа задач 17:
1) простые. К ним отношу задачи на равные платежи. Вот ниже...
...Читать далее
Ситуация вынудила стать учителем онлайн. Пришлось многому научиться. Понравилось. Теперь здесь на канале каждый день пишу краткое содержание одного онлайн урока на 45 минут или просто какую-нибудь фишку для онлайна.
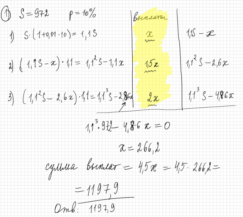
На самом деле, решить задачу номер 17 в ЕГЭ - проще, чем решить неравенство в номере 15.
Разделяю четыре типа задач 17:
1) простые. К ним отношу задачи на равные платежи. Вот ниже представлены решения четырех задач этого типа, объясняла 11класснику, который попросил начать объяснять "семнадцатые".
2) сложные. К ним отношу задачи на дифференцированные платежи. Ждите, будет и такое занятие.
3) смешанные. Ожидайте) Пенсионный фонд и другие задачи на смесь 1 и 2 типов.
4) на оптимизацию. Обязательно расскажу, так как уже в демоварианте 2021 появилась такая задача! Намек на то, что и в июне будет такая задача.
ЕГЭ 2020, Дальний Восток
ЕГЭ 2020, Москва