Добавить в корзинуПозвонить
Найти в Дзене
Александр Шуравин.

Химия для чайников. Урок 4. Базовые понятия химии

Начало: Химия для чайников. Урок 1. Что такое химия Предыдущий урок: Химия для чайников. Урок 3. Органическая химия. Мы уже изучили, что такое химия, что такое органическаяи неорганическаяхимия. Теперь поговорим о базовых понятиях химии. Химия – это наука, а в каждой науке есть объект и предмет исследования. Почему важно знать предмет и объект науки? Дело в том, что у каждой науки есть свои границы. Бесполезно задавать биологам вопрос: почему камень падает вниз или из чего состоит вещество. Точно так же, например, что внутри у муравья – это не вопрос для, например, математики. Но, бывает так, что один и тот же объект исследуют разные науки, но с разных сторон. Например, живой организм можно исследовать как биологический объект (биология), можно изучать из каких веществ он состоит (химия, биохимия), можно исследовать различные процессы внутри живого организма (физиология). Живой организм можно исследовать и с точки зрения физики, рассматривая его как механизм: например, скелет – это си
Изображение нарисовано нейросетью Midjourney.
Изображение нарисовано нейросетью Midjourney.

Начало: Химия для чайников. Урок 1. Что такое химия

Предыдущий урок: Химия для чайников. Урок 3. Органическая химия.

Мы уже изучили, что такое химия, что такое органическаяи неорганическаяхимия. Теперь поговорим о базовых понятиях химии. Химия – это наука, а в каждой науке есть объект и предмет исследования. Почему важно знать предмет и объект науки? Дело в том, что у каждой науки есть свои границы. Бесполезно задавать биологам вопрос: почему камень падает вниз или из чего состоит вещество. Точно так же, например, что внутри у муравья – это не вопрос для, например, математики. Но, бывает так, что один и тот же объект исследуют разные науки, но с разных сторон. Например, живой организм можно исследовать как биологический объект (биология), можно изучать из каких веществ он состоит (химия, биохимия), можно исследовать различные процессы внутри живого организма (физиология). Живой организм можно исследовать и с точки зрения физики, рассматривая его как механизм: например, скелет – это система рычагов, а мышцы – источники силы. Именно поэтому еще отдельно выделяют и предмет науки.

Объектом химии, как вы уже знаете из первого урока, является вещество. А предметом – химические элементы и их соединения, а так же закономерности, которым подчиняются различные химические реакции.

И так, разберем первое понятие химии: вещество. Вот как определяет это понятие википедия: «Вещество — одна из форм материи, состоящая из фермионов или содержащая фермионы наряду с бозонами; обладает массой покоя, в отличие от некоторых типов полей, как например электромагнитное». Сложно, да. И это уже из физики. Хотя, если честно, физика немного пересекается с химией. В частности, и физика и химия изучает атомы и молекулы. А атомы состоят из электронов и ядер, вокруг которых эти электроны «летают». Нет, конечно же, не летают, поэтому и взято это слово в кавычки. На самом деле, электроны как бы «размазаны» по орбите вокруг ядра. И в этом вопросе химия тоже пересекается с физикой: в химии изучаются форма так называемых атомных орбиталей, а в физике изучаться электроны как элементарные частицы, которые, по сути, очень странные объекты: они не имеют в пространстве какого-то определенно места, а «размазаны» по пространству согласно принципу неопределенности Гейзенберга.

В химии, кстати, вещество определено более просто: «вещество – вид материи с определёнными химическими свойствами — способностью участвовать в химических реакциях определённым образом». Из веществ состоит все вокруг. Воздух, стол, стул, на котором вы сидите, окна, двери, стены, потолок. В общем, опять пора совершить мысленно путешествие. Возьмем клавиатуру. Корпус у нее пластмассовый. Откуда берется пластмасса для корпуса? Ее делают на специальном химическом производстве: смешивают одни вещества с другими, причем, особым образом (например, при высокой температуре, или еще при каких-то особых условиях), в результате получают какие-то совсем другие вещества. Но как понять, а те ли мы смешиваем вещества? Если смешать не те вещества, то и в результате мы получим совсем не то, что планировали. Поэтому одна из задач химии это идентифицировать вещества по их химическим и физическим свойствам. Например, поваренная соль (NaCl). Это веществом можно охарактеризовать так: твердое вещество белого цвета, соленого вкуса, хрупкое, растворимое в воде, температура плавления 801 градус Цельсия, температура кипения 1465 градусов Цельсия, и так далее (тут можно сказать и, например, про плотность, электрическая проводимость и так далее). Замечу, что кроме физических свойств у веществ есть и химические свойства, но мы их разберем в будущих уроках.

Еще различают чистые вещества и смести. Тут, думаю, все понятно. Если вы смешали песок с глиной – то это будет смесь песка с глиной. Если вы смешали соль и сахар – то это будет смесь соли с сахаром. А сами по себе соль и сахар – это чистые вещества (по крайней мере, настолько чистыми, насколько это возможно: абсолютно чистых веществ не бывает, всегда есть какие-то примести).

Часто возникает задача выделить из смести чистые вещества. Как это делается? Тут зависит от того, что именно у нас смешано. Но, в общем случае, используется ряд однотипных приемов:

1. Использовать разные физические свойства вещества. Например, температуру кипения. Если одно вещество кипит при температуре 100 градусов, а другое – 200, то можно нагреть смесь до температуры 100 градусов и ждать, когда выкипит вещество, температура кипения которого 100 градусов. Аналогично, например, с растворимостью: можно растворить смесь, растворимое вещество раствориться, нерастворимое выпадет в осадок.

2. Использовать разные химические свойства. Например, если одно из веществ смести реагирует с третьим, а второе нет, то добавить это третье вещество. Правда, тут образуется четвертое вещество, и его тоже надо отделить. Но если его отделить легче, то почему бы этим не воспользоваться?

Приведу несколько примеров. Например, у нас есть смесь поваренной соли и песка. Как нам их разделить? Сыплем все это в воду. Песок в воде не растворяется. А соль растворяется. Таким образом, мы взбалтываем все это хорошенько, ждем, когда соль раствориться, а песок осядет на дно. Аккуратно сливаем соленую воду. Ее можно выпарить, тогда на дне сосуда, где была соленая вода, останется соль в виде кристалликов.

Теперь разберем следующее понятие: химические и физические явления. Под явлением в данном случае мы понимаем изменения, которые происходят с веществами. Например, испарение воды, плавление металлов, горение древесины. И эти явления делятся на химические и физические. При химических явлениях одни вещества превращаются в другие, а при физических нет. Например, вы опустили в воду гвоздь – он заржавел. Это химическое явление, было железо – стала ржавчина (оксид железа), это уже другое вещество. Вы поставили чайник на огноь, вода выкипела – это физическое явление, что пар, что вода – вещество одно и то же, только в разных агрегатных состояниях. Пар может потом обратно конденсироваться в воду.

Вещество, как вы знаете, состоит из молекул. Молекула – самая маленькая частица вещества. А вот сами молекулы состоят из атомов. Может быть и так, что молекула стоит из одного атома. Но чаще всего все-таки из нескольких. Например, молекула кислорода состоит из двух соединенных атомов кислорода, его формула O2. Вообще, если молекула вещества состоит из одинаковых атомов, то это простое вещество. Кислород, следовательно, простое вещество. А вот вода – это сложное вещество, ее молекулы состоят из атомов кислорода и водорода.

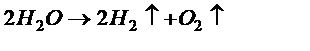
Чем отличаются атомы от молекул? Атом – это самая мелкая химически неделимая частица вещества. А молекула – это группа атомов, и иногда их можно отделить друг от друга. Например, известная реакция разложения воды:

-2

Она протекает под действием электрического тока. Двойка перед H2O обозначает, что на две молекулы воды получается две молекулы водорода (двойка перед H2) и одна молекула кислорода. Стрелка вверх обозначает что образуется летучее вещество (газ), то есть вещество улетучивается.

А вот что касается простых веществ, их нельзя химически разложить: атомы то неделимы!

И теперь мы разберем следующее понятие химический элемент. Под химическим элементом понимается тип конкретного атома. Все известные химические элементы сведены в специальную таблицу, которая называется таблица Менделеева. По состоянию на 2023 год известно 118 химических элементов (в будущем, может быть откроют еще). Каждый химический элемент обозначается определенным символом, например, водород – H, кислород – O, азот – N, железо – Fe. Надо сказать, что химический элемент – это не один конкретный атом, а все вообще атомы данного вида. Следует различать понятие «химический элемент» и «простое вещество». Химический элемент – это просто вид атомов. Например, атомы кислорода. Как правило, эти атомы образуют молекулу O2 – это кислород, простое вещество. Иногда кислород может быть и в виде отельных атомов. Это тоже отдельное вещество. Может быть и трехатомная молекула кислорода – O3. Такое вещество называется озон. Это очень интересный газ. Он присутствует в атмосфере Земли на высоте более 15 километров и защищает Землю от солнечных ультрафиолетовых лучей. Образуется, как правило, под действием электрических разрядов. При низких концентрациях он даже полезен, пахнет свежестью. Используется при дезинфекции. А вот при больших концентрациях может быть токсичен.

Таким образом, один и тот же элемент (кислород) может образовывать аж три простых вещества: атомарный кислород, кислород и озон. С другой стороны, кислород, как элемент, может входить в состав сложных веществ (чьи молекулы состоят из разных типов атомов). Например, вода, состоит из атомов кислорода и водорода (H2O).

Итак, мы познакомились с основами понятиями химии. Узнали, что такое просты и сложные вещества, что такое химические элементы. На этом урок кончен, но впереди еще много интересного, следите за публикациями.