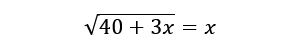
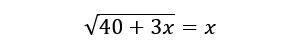
После сложных заданий, рассмотрим простое. Это задание №4685 из банка тестовых заданий для ЕГЭ ФИПИ. Хотя, это задание «повышенного» уровня сложности, однако оно вполне по силам ученикам невысоких способностей. Напоминаю, для подписчиков предусмотрена возможность получения решений в «вордовском» .DOCX формате со стандартными формулами и рисунками. Кому требуется, делайте запросы в комментариях – я предоставлю файл. Общий список заданий, разобранных на канале, приведён здесь. Задание Решите уравнение: Если уравнение имеет более одного корня, укажите меньший из них. Рассуждаем Уравнение выглядит простым. Достаточно возвести обе части в квадрат, после чего получаем три члена – квадрат переменной, первую степень с коэффициентом и свободный член. Приводим уравнение к каноническому виду, применяем известную формулу, получаем два корня, и выписываем меньший в ответ. Однако, в этой обманчивой простоте есть один подвох, про который ни в коем случае нельзя забыть, чтобы не ошибиться. Поскольку р
Простое иррациональное уравнение. Тестовое задание для ЕГЭ №4685.
22 января 202322 янв 2023
29
2 мин
