Добавить в корзинуПозвонить
Найти в Дзене

Ландшафтный (природный) пожар: определение, причины, тушение

Ландшафтный (природный) пожар – это неконтролируемый процесс горения, стихийно возникающий и распространяющийся в природной среде, охватывающий различные компоненты природного ландшафта. Серьезную опасность для окружающей среды, экономики и населения представляют пожары в условиях природы – так называемые ландшафтные пожары. В зависимости от места возникновения они подразделяются на лесные, степные, болотные, тундровые, маревые, саванные, степные, камышовые, полевые и другие. По своей сути ландшафтный пожар представляет собой стихийно распространяющееся горение, в результате которого уничтожаются леса, кустарники, запасы торфа и различные виды растительности, находящейся на его пути. Несмотря на то, что 90% ландшафтных пожаров возникают в связи с деятельностью человека, или из-за его беспечности, в своем большинстве их относят к стихийным бедствиям. Ландшафтные пожары чаще всего возникают в наиболее «благоприятное» для этого летнеевремя года, которое называют пожароопасным сезоном. По
Оглавление
   Ландшафтный (природный) пожар: определение, причины, тушение
Ландшафтный (природный) пожар: определение, причины, тушение

Ландшафтный (природный) пожар – это неконтролируемый процесс горения, стихийно возникающий и распространяющийся в природной среде, охватывающий различные компоненты природного ландшафта.

Серьезную опасность для окружающей среды, экономики и населения представляют пожары в условиях природы – так называемые ландшафтные пожары. В зависимости от места возникновения они подразделяются на лесные, степные, болотные, тундровые, маревые, саванные, степные, камышовые, полевые и другие.

По своей сути ландшафтный пожар представляет собой стихийно распространяющееся горение, в результате которого уничтожаются леса, кустарники, запасы торфа и различные виды растительности, находящейся на его пути. Несмотря на то, что 90% ландшафтных пожаров возникают в связи с деятельностью человека, или из-за его беспечности, в своем большинстве их относят к стихийным бедствиям. Ландшафтные пожары чаще всего возникают в наиболее «благоприятное» для этого летнеевремя года, которое называют пожароопасным сезоном.

После загорания начинается развитие и распространение ландшафтного пожара. Непрерывно продвигающаяся полоса горения, на которой сгорание основного горючего материала происходит с максимальной для данного пожара плотностью тепловыделения, носит название кромки пожара. В ней различают внешнюю и внутреннюю границы.

Внутренняя граница кромки обращена к площади, пройденной горением, а внешняя – к не охваченной горением площади.

Часть кромки, распространяющаяся с наибольшей скоростью, носит название фронт пожара, а продвигающаяся в противоположную сторону – тыл. Части движущейся кромки между фронтом и тылом пожара называются флангами.

При наличии легковоспламеняющихся горючих материалов (например, куртин хвойного подроста) отдельные участки фронта пожара продвигаются вперед, образуя выступы (языки, клинья), а при наличии пожароустойчивых участков (мочажины, куртины огнестойкой растительности) наблюдается образование впадин (карманов).

Пространство, обрамленное кромкой, называется площадью ландшафтного пожара.

Возникновение ландшафтных пожаров связано с такими параметрами, как температура, влажность воздуха и горючих материалов, скорость ветра и т.д.

Виды и причины возникновения ландшафтных пожаров

Ландшафтные пожары классифицируются по виду ландшафта, по которому распространяется горение. Основными разновидностями ландшафтных пожаров в России являются лесные, торфяные (разновидность лесных) и степные пожары.

Лесные пожары

Все лесные пожары представляют чрезвычайную опасность, поскольку к моменту начала борьбы с ними, как правило, уже успевают развиться на большой площади и средств борьбы не хватает. Особенно большую опасность представляют крупные массовые пожары, которые возникают в условиях засушливой погоды и суммарная площадь которых может достигать сотен тысяч гектаров. При этом возникает непосредственная угроза уничтожения огнем населенных пунктов и объектов народного хозяйства (далее - НП и ОНХ), расположенных в лесных массивах, а также сильное задымление и загазованность крупных населенных пунктов, удаленных от лесных массивов.

Основной причиной лесных пожаров являются неосторожные или неправомерные действия населения. Так, в России более 75% пожаров в лесу возникло по вине человека.

Массовые очаги лесных пожаров возникают преимущественно в зонах, прилегающих к населенным пунктам и транспортным путям, в первую очередь на территории наиболее опасных в пожарном отношении лесных участков (хвойных молодняков, сосняков, торфяников и т.п.). Пожароопасные зоны, расположенные в радиусе 5-10 км от границ городов и поселков, занимают весьма значительные лесные площади.

В зависимости от значения показателя существуют следующие классы пожарной опасности в лесах:

  • I класс (К до 300) – пожароопасность отсутствует;
  • II класс (К от 301 до 1000) – малая пожарная опасность;
  • III класс (К от 1001 до 4000) – средняя пожарная опасность;
  • IV класс (К от 4001 до 10000-12000) – высокая пожарная опасность;
  • V класс (К больше 10000-12000) – чрезвычайная опасность.

Торфяные пожары

Торфяные пожары представляют собой возгорание торфяного болота, осушенного или естественного.

Торф – продукт неполного разложения растительной массы в условиях избыточной влажности и недостаточной аэрации. Он обладает самой высокой из всех твердых топлив влагоемкостью.

Основными тепловыми характеристиками торфа являются его теплотворная способность, а также коэффициент теплопроводности. Основными горючими материалами у торфов являются углерод (52-56% от общей массы) и водород (5-6% от общей массы), кроме того, в составе торфа имеется от 30 до 40% атомов кислорода, связанного в молекулах химических веществ, из которых состоит торф.

Причинами возникновения торфяных пожаров являются неосторожное обращение с огнем, разряд молнии или самовозгорание, которое может происходить при температуре выше 50 °C. Летом поверхность почвы в средней полосе может нагреваться до 52-54 °C. Кроме того, достаточно часто почвенные торфяные пожары являются развитием низового лесного пожара. В слой торфа в этих случаях огонь заглубляется у стволов деревьев.

Торфяные пожары характерны для второй половины лета, когда в результате длительной засухи верхний слой торфа просыхает до относительной влажности 25-100%. При таком содержании влаги он может загораться и поддерживать горение в нижних, менее сухих слоях. Глубина прогорания торфяной залежи определяется уровнем залегания грунтовых вод.

Горение обычно происходит в режиме «тления», то есть в беспламенной фазе как за счет кислорода, поступающего вместе с воздухом, так и за счет его выделения при термическом разложении сгораемого материала.

Процесс горения в нижней части происходит значительно интенсивней, чем вверху. Это объясняется тем, что свежий холодный воздух, как более тяжелый, поступает в нижнюю часть зоны горения, где реагирует с горящим торфом. Углекислый и угарный газы, а также продукты пиролиза (термическое разложение органических соединений без доступа воздуха) торфа в нагретом виде омывают верхнюю часть зоны горения, препятствуя доступу к ней кислорода. Также распространению горения на верхние слоипочвы препятствует повышенная влажность в задернелом корнеобитаемом слое почвы, хорошо удерживающем влагу от выпадения осадков и капиллярного подъема грунтовых вод.

Заглубляясь в нижние слои торфа до минерального грунта или уровня грунтовых вод, горение может распространяться на десятки и сотни метров от входного отверстия, лишь местами выходя на поверхность. При заглублении очага горения происходит аккумуляция выделяющегося в слое торфа тепла и его распространение в направлении участков с повышенной влажностью, воспламеняющихся после испарения содержащейся в них влаги.

Различают одноочаговые и многоочаговые торфяные пожары. Если пожар возник от загорания напочвенного покрова, то возможно заглубление огня в органический слой почвы сразу в нескольких местах. Когда пожар возник от костра, то это, как правило, одноочаговый пожар.

Степные пожары

Степной пожар – стихийное, неконтролируемое распространение огня по растительному покрову степей. По механизму распространения огня схож с низовым лесным пожаром, но скорость распространения степного пожара выше, что обусловлено рядом факторов, а именно большей горючестью сухих степных трав и большей скоростью приземного ветра в степи. Наносит урон естественной среде (растительному покрову и животному миру), может представлять опасность для людей и объектов экономики, хотя и в меньшей степени, чем лесной пожар.

Степные пожары способствуют ветровой эрозии степных почв, а также деградации травяного покрова. Выгоревшие участки быстро зарастают сорными растениями: полынью, ковылем, бурьяном. Основой причиной степных пожаров являются антропогенные факторы, в том числе пал травы. Молнии и другие естественные факторы сравнительно редко являются причиной степных пожаров.

Характеризуются возникновением одного или нескольких очагов, которые достаточно быстро распространяются на значительные территории. Такие природные катастрофы обладают высокой скоростью распространения, достигающей в определенные моменты 30 км/ч. Этот фактор обусловлен большим количеством сухой растительности, созревших злаков и прочих легковоспламеняющихся материалов. Как правило, степные пожары представляют огромную опасность не только для людей, но и для сельскохозяйственных животных. Огонь, который подступает со всех сторон, оказывает достаточно сильное психологическое давление. Тем самым может спровоцировать массовую панику, которая зачастую приводит к многочисленным жертвам.

Степные пожары характерны для весны, когда прошлогодняя трава высыхает после схода снега, а также конца лета и осени. В период интенсивной вегетации степные пожары практически не возникают.

В России степные пожары характерны для южных степных районов Поволжья, Урала, Сибири.

Особенности крупных ландшафтных пожаров

Наиболее характерными особенностями крупных ландшафтных пожаров являются следующие:

  • возникновение во время продолжительных засушливых периодов, чаще всего при сильных ветрах;
  • высокая интенсивность тепловыделения;
  • высокая скорость распространения с преодолением различных препятствий (минерализованных полос, противопожарных разрывов, небольших рек и ручьев);
  • возникновение большой зоны плотной задымленности;
  • крупные лесные пожары действуют на фоне развития мелких и средних пожаров.

Крупные ландшафтные пожары представляют серьезную опасность населенным пунктам, городам, военным объектам, предприятиям народного хозяйства, расположенным в лесных массивах. Над такими пожарами возникают мощные конвективные потоки продуктов горения, которые поднимают и рассеивают перед фронтом пожара горящие частицы, вызывая появление новых очагов горения перед фронтом пожара.

Опасность и поражающие факторы ландшафтных пожаров

Основными поражающими факторами ландшафтных пожаров являются:

  • высокая температура, вызывающая возгорание всего, что окажется в районе пожара;
  • задымление больших районов, оказывающее раздражающее воздействие на людей и животных, а в некоторых случаях и отравление их окисью углерода;
  • ограничение видимости;
  • устрашающее психологическое воздействие на людей.

Пожары в лесах и торфяниках характеризуются быстрым развитием, высокой скоростью распространения огневого фронта и созданием обширных зон загазованности и задымления с опасными для жизни людей концентрациями продуктов горения. При массовых пожарах на торфяниках и в лесах на людей, находящихся на открытом воздухе и в сооружениях, будут действовать следующие поражающие факторы, опасные факторы пожара:

  • непосредственное воздействие огня;
  • высокая температура газовой среды;
  • теплоизлучение от пламени;
  • задымление и загазованность в районе пожара.

Опасность торфяных пожаров усугубляет то, что при них горит не только слой торфа, но и корни деревьев. Пожар распространяется со скоростью до нескольких метров в сутки. При выгорании почвы под деревьями последние беспорядочно падают. Глубина горения торфа ограничивается лишь уровнем грунтовых вод или подстилающим минеральным грунтом. Торфяной пожар не боится осадков за счет гидрофобности битумированных частиц торфа. При этом влага уходит в грунтовые воды мимо частиц торфа, а торф продолжает гореть вплоть до полного выгорания месторождения.

В результате действия поражающих факторов (огонь, искры, повышение температуры среды) происходит уничтожение и повреждение лесных массивов, создается угроза жизни людям, уничтожаются промышленные объекты и населенные пункты. Лесной пожар вызывает также уменьшение прироста древесины, ухудшает состав лесов, почвенные условия, усиливает ветровалы и буреломы, увеличивает количество сухостоя, ведет к массовому распространению вредных насекомых.

Средняя температура горения лесных горючих материалов 500-900 °C. Температура горения (тления) торфа – 500 °C (при влажности 10-30%), 300 °C (при влажности 65%).

Высота факела пламени определяется видом и силой пожара, скоростью ветра, шириной кромки и имеет следующие средние значения: для низового пожара – 0,05-3 м, для верховых пожаров – 3-15 м (над уровнем древостоя). Глубина прогорания торфа зависит от мощности слоя торфа, его влажности и может составлять 0,25-3 м.

Параметры загазованности среды в пределах кромки пожара характеризуется следующими средними величинами: объемная концентрация оксида углерода – 1,2%, диоксида углерода – 4,5%, кислорода – 12,5%.

Пожары в степях характеризуются очень быстрым развитием, на скорость распространения пожара особенно влияет скорость ветра. При высоком и густом травяном покрове, сильном ветре и засушливой погоде скорость распространения пламени по высоким хлебам и травам достигает 500-600 м/мин. При редкой и низкой растительности и при отсутствии ветра пожары распространяются со скоростью 10-15 м/мин.

Пожары в степи, а также на хлебных массивах, как правило, обнаруживаются поздно, в результате он охватывает большие площади в несколько тысяч гектар. В процессе распространения пожара часто образуется так называемый «огненный шторм», который перебрасывает огонь на большие расстояния, преодолевая при этом искусственные и естественные преграды шириной до 12-15 м.

Тушение ландшафтных пожаров

В соответствии со статьей 18 «Полномочия органов государственной власти субъектов Российской Федерации в области пожарной безопасности» Федерального закона РФ от 21.12.1994 № 69-ФЗ к полномочиям органов государственной власти субъектов Российской Федерации в области пожарной безопасности относится организация тушения ландшафтных (природных) пожаров силами и средствами единой государственной системы предупреждения и ликвидации чрезвычайных ситуаций, расположенными на территории субъекта Российской Федерации, в соответствии с полномочиями, установленными Федеральным законом РФ от 21.12.1994 № 68-ФЗ «О защите населения и территорий от чрезвычайных ситуаций природного и техногенного характера» (за исключением тушения лесных пожаров и других ландшафтных (природных) пожаров на землях лесного фонда, землях обороны и безопасности, землях особо охраняемых природных территорий, осуществляемого в соответствии с частью 5 статьи 51 Лесного кодекса Российской Федерации).

Организация руководства работами по тушению ландшафтных пожаров, технологии, способы и особенности их тушения, основные технические средства борьбыс ними и порядок определения необходимого количества сил и технических средств для тушения ландшафтных пожаров изложены в методике тушения ландшафтных пожаров, утвержденной заместителем Министра МЧС России, генерал-лейтенантом внутренней службы Беляевым Л.А. от 14 сентября 2015 года № 2-4-87-32-ЛБ.

Прогнозирование природных пожаров

Прогнозирование природных пожаров – это определение вероятности возникновения и динамики развития природных пожаров с оценкой вероятных неблагоприятных последствий.

Прогнозирование может носить долгосрочный, краткосрочный или оперативный характер.

Существующие методики оценки лесопожарной обстановки позволяют определить площадь и периметр зоны возможных пожаров в регионе (области, районе). Данными для прогнозирования являются: значение лесопожарного коэффициента и время развития пожара. Значение лесопожарного коэффициента зависит от природных и погодных условий региона и времени года. Время развития пожаров определяется временем прибытия сил и средств ликвидации пожара в лесопожарную зону.

Решение лесопожарной проблемы связано с решением целого ряда организационных и технических проблем и в первую очередь с осуществлением противопожарных и профилактических работ, проводимых в плановом порядке и направленных на предупреждение возникновения, распространения и развития лесных пожаров.

Мероприятия по предупреждению распространения лесных пожаров предусматривают осуществление ряда лесоводческих мероприятий (санитарные рубки, очистка мест рубок леса и др.), а также проведение специальных мероприятий по созданию системы противопожарных барьеров в лесу и строительству различных противопожарных объектов.

Необходимо помнить, что лес становится негоримым, если очистить его от сухости и валежника, устранить подлесок, проложить 2-3 минерализованных полосы с расстоянием между ними 50-60 м, а надпочвенный покров между ними периодически выжигать.

Исходными данными для прогнозирования появления источника поражающих факторов – возникновения лесного пожара, служат:

  • класс пожарной опасности в лесу по условиям погоды;
  • местоположение и площадь участков лесного фонда I–III классов пожарной опасности и/или участков разных классов пожарной опасности, где в рассматриваемое время ЛГМ могут гореть при появлении источника огня;
  • данные о рельефе местности (равнина, плато, плоскогорье, нагорье, горы; холмы, сопки; котловины, овраги);
  • наличие потенциальных источников огня в перечисленных участках лесного фонда, где в рассматриваемое время ЛГМ могут гореть при появлении источника огня;
  • данные о грозовой деятельности;
  • результаты ретроспективного анализа распределения пожаров во времени (число пожаров по годам, месяцам, декадам, дням, часам суток) и по территории (лесным кварталам, лесничествам, лесхозам, управлениям лесным хозяйством субъектов Российской Федерации) рассматриваемого района, региона или сопоставимого с ними по природным и экономическим условиям за последние 10 лет.

Степень пожарной опасности в лесу по условиям погоды должна определяться по принятому в лесном хозяйстве комплексному показателю В.Г. Нестерова, который вычисляется на основе данных о температуре воздуха, температуре точки росы, количестве выпавших осадков.

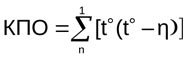
Пожарная опасность по условиям погоды определяет возможность горения лесных горючих материалов в зависимости от их влажности, определяемой погодными условиями. Показатель пожарной опасности (класс пожарной опасности — КПО) в лесу по условиям погоды определяется на 12-14 ч местного времени, как сумма произведения температуры воздуха (t°) на разность температур воздуха и точки росы (h) за (n) дней без дождя:

 📷
📷

Общероссийская шкала имеет пять классов пожарной опасности в лесу по условиям погоды. Во многих регионах, в соответствии с методикой составления шкал КПО, разработаны и применяются местные шкалы пожарной опасности, учитывающие сезонность горимости и ее зависимость от величины комплексного показателя, т. е. имеются другие величины комплексных показателей, определяющие границы КПО, и они отличаются от значений общероссийской шкалы.

Источники: