Найти в Дзене
Колесо Физики

Обусловленность физико-математического моделирования климатических аномалий (II часть)

В конце 80-х – 90-х гг. прошлого столетия автором был разработан ряд физических моделей светорассеивающих и поглощающих сред, позволивших обосновать новые математические модели природных процессов, объяснить ряд наблюдаемых явлений в динамике высокоширотных и горных ледников, а также теплофизику антарктических озер. На этой основе можно также предлагать новые физические модели водно-теплового баланса акваторий, атмосферных и солнечных тепловых потоков, температурных и терморадиационных полей, формирующихся в подповерхностной области полупрозрачной морской среды, в частности, загрязненной разливами нефти. Загрязнения на поверхности воды рассматриваются как непрозрачные или полупрозрачные взвеси (пленки), эмульсии с селективными свойствами ослабления лучистых потоков тепла в ближнем ультрафиолетовом, видимом, ближнем и среднем инфракрасных диапазонах длин волн потока солнечного излучения, а также атмосферного лучистого потока тепла с учетом конвективного теплопереноса. 2.1. Физико-мате

В конце 80-х – 90-х гг. прошлого столетия автором был разработан ряд физических моделей светорассеивающих и поглощающих сред, позволивших обосновать новые математические модели природных процессов, объяснить ряд наблюдаемых явлений в динамике высокоширотных и горных ледников, а также теплофизику антарктических озер. На этой основе можно также предлагать новые физические модели водно-теплового баланса акваторий, атмосферных и солнечных тепловых потоков, температурных и терморадиационных полей, формирующихся в подповерхностной области полупрозрачной морской среды, в частности, загрязненной разливами нефти. Загрязнения на поверхности воды рассматриваются как непрозрачные или полупрозрачные взвеси (пленки), эмульсии с селективными свойствами ослабления лучистых потоков тепла в ближнем ультрафиолетовом, видимом, ближнем и среднем инфракрасных диапазонах длин волн потока солнечного излучения, а также атмосферного лучистого потока тепла с учетом конвективного теплопереноса.

2.1. Физико-математическая модель.

Объектом исследования является физическая модель прозрачной или полупрозрачной (загрязненной) морской воды. Внешнее тепловое воздействие солнца и воздушной атмосферы обуславливает процесс лучисто-кондуктивного объемного нагрева, а при определенных условиях, приводящего к подповерхностному перегреву (см. рис. 2.1).

Основу соответствующих математических моделей составляет задача об экранировании водной поверхности теплоизолирующими (терморегулирующими) покрытиями, которые являются оптически неоднородными средами, состоящими из рассеивающих, поглощающих и излучающих (в различных диапазонах длин волн) органических веществ.

Базовой физико-математической моделью, используемой в качестве аппарата количественных расчетов и оценок температурных и терморадиационных полей, является замкнутая система определенных математических соотношений. Они описывают сложный теплообмен в условиях конвективно-терморадиационного воздействия внешней среды на чистую или загрязненную морскую воду.

Эта модель включает:

- одномерное дифференциальное уравнение теплопроводности, коэффициенты которого зависят от ряда оптических и теплофизических параметров водно-нефтяной эмульсии с внутренним лучистым источником тепла;

- зависимость поглощения солнечного излучения в воде от глубины с позиций теории рассеяния терморадиации;

- показатели рассеяния и поглощения, которые определяются соответствующими долями ослабления проникающей терморадиации на единицу длины экспонируемой среды;

- сложное нелинейное граничное условие, включающее энергетические затраты на поверхностное испарение, лучистый теплообмен с переизлучением в коротковолновом и длинноволновом диапазонах длин волн, а также конвективную составляющую;

- задание спектральных оптических характеристик водно-нефтяной эмульсии на поверхности моря.

2.2. Численные расчеты

Представленные результаты моделирования соответствуют условиям нестационарного теплообмена. Модельные расчеты проводились для нескольких сценариев сочетаний оптических и теплофизических параметров водно-нефтяной эмульсии, а также условий теплообмена на границе раздела морской воды и атмосферы.

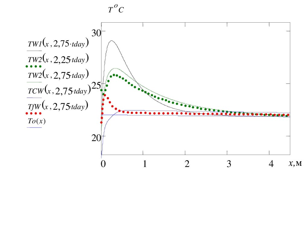
На рис. 2.2 представлены расчетные температурные распределения в течение трехсуточного периода теплового воздействия, обуславливающие переход к стационарному тепловому режиму и формированию температурных профилей с различным знакопеременным градиентом в толще:

- чистой TCW(x,t) морской воды;

- ее модели при экранировке сплошной нефтяной пленкой с температурным профилем TfW(x,t);

- водно-нефтяной эмульсии с температурными полями TW1(x,t), TW2(x,t) в астрономический полдень (t = 2,75 суток) и астрономическую полночь (t = 2,25 суток).

Начало аномального нагрева морской воды фиксировалось с 6-ти часов утра (t = 0) как следствие появляющейся дрейфующей водно-нефтяной эмульсии, в частности, для течения Гольфстрим.

Внешние условия моделировались как осциллирующие синфазные потоки тепла солнечного излучения и атмосферы. Поверхностное испарение морской воды является сложным и нелинейным по температуре процессом и поэтому энергетические затраты на испарение рассматриваются в упрощенной форме в соответствие с известными экспериментальными данными. В граничном условии принято для чистой воды - = 25 Вт/м2, водно-нефтяной эмульсии - 12,5 Вт/м2. При экранировке нефтяной сплошной плёнкой энергетические потери на ограниченное испарение не учитывались.

Загрязнение морской воды вызывает рост ее альбедо, определяемое суммарным отражением подповерхностными слоями, и достигает ~20-30%. Это влияет на распределение энергии солнечного излучения в толще воды в рамках теории лучистого теплопереноса при пренебрежимо малом граничном отражении по закону Френеля.

Расчеты проводились с модельным суточным гармоническим изменением солнечного потока от 0 до 500 Вт/м2, температуры атмосферы в пределах 20-350С в районе ~ 30о с.ш. течения Гольфстрима в безоблачные июльские дни.

Начальное температурное распределение по глубине в стометровом слое воды T0(x) принималось линейным c градиентом спада 0,040С /м в соответствие с натурными наблюдениями.

Прогрев толщи чистой морской воды характеризуется температурным профилем TCW(х, 2,75∙tday) (tday= 1 сутки) с фиксацией скин-эффекта поверхностного переохлаждения т.е. с пониженной температурой TCW(x=0, 2,75∙tday) на поверхности (рис. 2.1- “голубая” кривая). Этот эффект определяется потерями тепла на собственное переизлучение и испарение. Изменение температуры по глубине определяется как теплопроводностью, так и функцией терморадиационного источника, в соответствие с поглощением солнечного потока в слабо рассеивающей и незначительно поглощающей морской воде по закону Бугера. Действительно в чистых морях светлые предметы визуально наблюдаются на глубине до ~100 метров.

Температура воды постепенно увеличивается по глубине, достигая стационарного режима на третьи сутки наблюдений. В итоге, обеспечивается глубинный прогрев на величину в пределах одного градуса.

Другие температурные профили в морской воде описывают тепловой режим для экранировки:

  • сплошной нефтяной пленки - TfW(x,t);
  • водно-нефтяной эмульсии - TW1(x,t);, TW2(x,t) с различным поглощением солнечного излучения при объемной концентрация нефтепродуктов в воде равной, соответственно, 0,002 и 0,001.

При уменьшении испарения и роста подповерхностного поглощения солнечного излучения на глубине до ~ 1 м формируется стационарный температурный максимум. Он обусловлен объемным лучистым прогревом воды и пониженным кондуктивным стоком тепла в атмосферу из перегретых подповерхностных областях океана.

При достижения стационарного теплового режима примерно за трое суток (3·tday) наименьшее значение формирующегося температурного максимума при подповерхностном перегреве воды будет соответствовать утренним часам третьих суток теплового воздействия для данного процесса, например, при температуре TW2(х, 2,25∙tday). Наибольшее значение формирующегося температурного максимума для данной водно-нефтяной эмульсии, как и ожидалось, фиксировалось к полудню за 2,75 суток для соответствующего температурного профиля TW2(х,2,75∙tday).

В дальнейшем при модельных неизменных внешних условиях указанные колебания наибольших и наименьших значений температурных максимумов будут повторяются ежесуточно.

По сравнению с температурой TCW(x,t) не загрязненной морской воды увеличение температуры подповерхностных слоев водно-нефтяной эмульсии TW1, TW2(x,t) достигает 3-6 градусов. При этом глубинные слои x > 2-3 м чистой и загрязненной морской воды становятся аномально переохлажденными в сравнение с обычным тепловым режимом Гольфстрима.

Суточные колебания температуры атмосферы и солнечного потока обуславливают осцилляции температуры в подповерхностной области океана. Они могут менять не только свой градиент, но и его знак. К ночи имеет место сток кондуктивного тепла к поверхности из перегретой подповерхностной области. К полудню в тепловом процессе наблюдается естественная инверсия тепловых потоков.

В случае сплошной полупрозрачной нефтяной пленки для температурного профиля TfW(х,2,75∙tday) имеет место рост поглощенного до ~30% и отраженного до ~60% потоков солнечного излучения. При этом поток солнечного тепла, воздействующий на глубинные слои морской воды, уменьшается до ~ 200 Вт/м2. Это существенно меньше поглощенного потока тепла для чистой океанической воды ~ 470 Вт/м2. В этом случае характерен интенсивный перегрев воды вблизи поверхности.

При загрязнении морской воды нефтью с различными показателями поглощения и рассеяния солнечного излучения температура водно-нефтяной эмульсии в подповерхностной области океана может достигать ~290С для температурных полей TW1, TW2. В случае формирования сплошной нефтяной пленки температура подповерхностного объема морской воды нагревается до меньшей температуры 23-250С, т.к. пленка начинает выполнять функцию теплоизолятора.

Таким образом, водно-нефтяная эмульсия формирует в подповерхностной области океана перегрев с температурой на несколько градусов превышающий температуру чистой морской воды. В тоже время на больших глубинах более 1-3 метров водно-нефтяная эмульсия обуславливает формирование температуры меньшей, чем при нагреве чистой воды.

При длительном нагреве солнечным излучением температура воздушной среды возрастает за счет увеличенного альбедо загрязненной воды и кондуктивного стока тепла из глубины к экспонируемой поверхности океана.

В дальнейшем перегретые поверхностные слои будут интенсивно терять тепловую энергию, формируя штормовую погоду и торнадо для американского континента, обуславливая в целом переохлаждение Гольфстрима и снижения процессов испарения, важных для климата Европы.

Рис. 2.1. Физическая модель тепловых процессов на границе раздела атмосферы с  чистым (“голубой” фон) и загрязненным (“пятнистый” фон) океаном.
	Схема теплового баланса относительно исходного комбинированного воздействия совокупности потоков (в процентах):
-конвекции (“синие” стрелки),
-терморадиации в коротковолновом (“желтые” стрелки) и длинноволновом  (“красные” стрелки) диапазонах длин волн; 
	Качественное представление температурных полей для  чистого (“синяя” кривая) и загрязненного нефтью (“черно-белая” кривая) океана.
Рис. 2.1. Физическая модель тепловых процессов на границе раздела атмосферы с чистым (“голубой” фон) и загрязненным (“пятнистый” фон) океаном.  Схема теплового баланса относительно исходного комбинированного воздействия совокупности потоков (в процентах): -конвекции (“синие” стрелки), -терморадиации в коротковолновом (“желтые” стрелки) и длинноволновом (“красные” стрелки) диапазонах длин волн;  Качественное представление температурных полей для чистого (“синяя” кривая) и загрязненного нефтью (“черно-белая” кривая) океана.
Рис. 2.2. Влияние конвективно-терморадиационного воздействия атмосферы и солнца на формирование  стационарных температурных полей в толще морской воды за время почти трехсуточной тепловой экспозиции в астрономический полдень t = 2,75∙tday (tday = 1 сутки) и полночь t =2,25∙tday при времени начала аномального нагрева от 6 час. утра  с формированием отдельных температурных профилей для: 	чистой морской воды – TCW(х, 2,75∙tday) – “голубая сплошная” кривая с поверхностным скин-эффектом переохлаждения;
	морской акватории, покрытой сплошной нефтяной пленкой - TfW(х, 2,75∙tday) – “красная  пунктирная”  кривая;
	загрязненного океана с  принятым равномерным по глубине концентрацией Сυ нефти соответственно при    
             - Сυ  =0,001  -  TW1(х, 2,75∙tday) – “серая сплошная” кривая,            
             - Сυ =0,002  - TW2(х, 2,25∙tday) -  “зеленая  пунктирная” кривая и  TW2(х, 2,75∙tday) – “зеленая  сплошная” кривая.
               Начальный температурный  профиль T0(x) представлен монотонно убывающей функцией с линейным  градиентом 0,040С /м (“голубая сплошная” кривая).
Рис. 2.2. Влияние конвективно-терморадиационного воздействия атмосферы и солнца на формирование стационарных температурных полей в толще морской воды за время почти трехсуточной тепловой экспозиции в астрономический полдень t = 2,75∙tday (tday = 1 сутки) и полночь t =2,25∙tday при времени начала аномального нагрева от 6 час. утра с формированием отдельных температурных профилей для:  чистой морской воды – TCW(х, 2,75∙tday) – “голубая сплошная” кривая с поверхностным скин-эффектом переохлаждения;  морской акватории, покрытой сплошной нефтяной пленкой - TfW(х, 2,75∙tday) – “красная пунктирная” кривая;  загрязненного океана с принятым равномерным по глубине концентрацией Сυ нефти соответственно при - Сυ =0,001 - TW1(х, 2,75∙tday) – “серая сплошная” кривая, - Сυ =0,002 - TW2(х, 2,25∙tday) - “зеленая пунктирная” кривая и TW2(х, 2,75∙tday) – “зеленая сплошная” кривая. Начальный температурный профиль T0(x) представлен монотонно убывающей функцией с линейным градиентом 0,040С /м (“голубая сплошная” кривая).