Добавить в корзинуПозвонить
Найти в Дзене

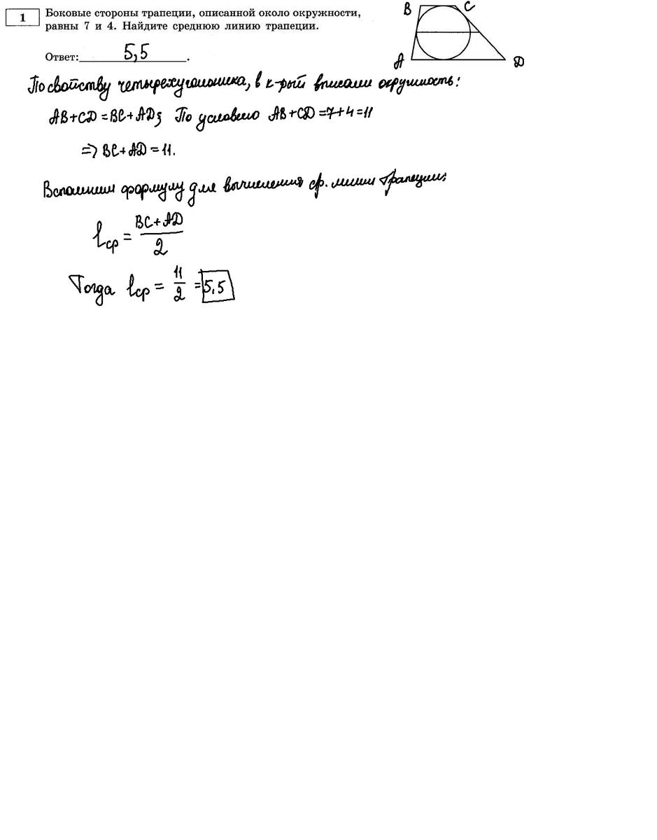
Окружность, вписанная в трапецию на ЕГЭ-2023(часть 1)

Сегодня вспоминаем свойства четырехугольника, описанного около окружности + формулу средней линии трапеции, прорешивая несложную задачу из сборника Ященко по профильной математике. Планиметрия в первой части профильного ЕГЭ по математике не содержит больших трудностей, но за решение таких задач начисляют хорошие баллы.
Решение задачи №1 из сборника ЕГЭ-2023(профиль). Автор: Ященко
Решение задачи №1 из сборника ЕГЭ-2023(профиль). Автор: Ященко

Сегодня вспоминаем свойства четырехугольника, описанного около окружности + формулу средней линии трапеции, прорешивая несложную задачу из сборника Ященко по профильной математике. Планиметрия в первой части профильного ЕГЭ по математике не содержит больших трудностей, но за решение таких задач начисляют хорошие баллы.