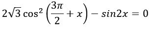
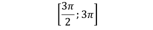
Сегодня рассмотрим задание №4380 из банка тестовых заданий для ЕГЭ ФИПИ. Это задание «повышенного» уровня сложности. Напоминаю, для подписчиков предусмотрена возможность получения решений в «вордовском» .DOCX формате со стандартными формулами и рисунками. Кому требуется, делайте запросы в комментариях – я предоставлю файл. Общий список заданий, разобранных на канале, приведён здесь. Задание Решите уравнение: Укажите корни этого уравнения, принадлежащие отрезку: Рассуждаем Общий принцип решения тригонометрических уравнений состоит к сведению их к стандартным простым формам, выписывание общего решения по готовым формулам, и потом отборе корней, попадающих в заданный отрезок. В данном случае уравнение содержит три «сложных» момента – функция косинуса находится в квадрате, сам косинус взят от суммы аргументов, а под знаком синуса стоит двойной угол. Следовательно, начинать надо с перехода к функциям от простого аргумента (используя формулы приведения и формулу двойного угла), а потом – пре
Тригонометрическое уравнение. Тестовое задание для ЕГЭ №4380.
23 декабря 202223 дек 2022
15
2 мин
