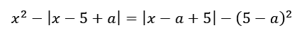
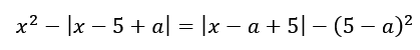
Сегодня рассмотрим задание №4279 из банка тестовых заданий для ЕГЭ ФИПИ. Это задание «высокого» уровня сложности, однако, разобрать его будет полезно и ученикам средних способностей.
Напоминаю, для подписчиков предусмотрена возможность получения решений в «вордовском» .DOCX формате со стандартными формулами и рисунками. Кому требуется, делайте запросы в комментариях – я предоставлю файл.
Общий список заданий, разобранных на канале, приведён здесь.
Задание
Найдите все значения a, при каждом из которых уравнение
имеет единственный корень.
Рассуждаем
Уравнение содержит два модуля, следовательно, в нем есть четыре варианта раскрытия модулей, и до четырёх областей графика в координатах x - a.
Сразу отметим, что параметр везде входит в состав разности 5 - a. Это сразу даёт возможность сделать замену параметра, упрощающую уравнение.
После замены необходимо найти точки изменения поведения модулей (точки нулевых модулей). Таких точек две, и они делят всю числовую прямую на три участка. При этом, поскольку внутри модулей есть параметр, точки эти меняют своё положение, и могут меняться местами. Следовательно, разумно будет рассмотреть три варианта параметра – когда точки нулевых модулей совпадают, когда первая точка больше второй и когда вторая больше первой.
В каждом из вариантов необходимо исследовать знаки раскрытия модулей, и потом, раскрыть модули в каждой из получающихся областей с соответствующими знаками.
После раскрытий модулей получившиеся уравнения необходимо будет привести к каноническому виду, и построить график допустимых решений, он будет состоять из нескольких отрезков, в соответствии с количеством раскрытий модулей.
Наконец, последним шагом будет исследование пересечения линии уровня постоянного параметра с получившимся графиком. Необходимо будет отобрать такие значения параметра, при которых пересечение (или касание) будет только одно.
План решения
- Перенесём все вправо и сделаем замену.
- Найдём интервалы раскрытия модулей.
- Раскроем модули со всеми вариантами знаков.
- В каждом варианте найдём пересечение получившегося графика с графиком постоянного параметра.
- На каждом из интервалов параметра проверим соответствующие решения, и отберём те, которые соответствуют условиям.
Решение.
Исходное уравнение:
Переносим всё влево:
Заметим, что параметр и значение 5 везде стоят рядом в составе разности. Упростим себе жизнь. Сделаем замену:
Подставляем:
Находим интервалы раскрытия модулей. Сперва точки, где модули меняют знак:
Эти две точки могут делить числовую прямую на три интервала, кроме случая, когда они совпадают (b = 0). Причём, для положительного и отрицательного параметра точки перемены знака меняются местами. А значит, необходимо рассмотреть три варианта значений параметра:
Рассматриваем.
Первый вариант, (b < 0). Точек, где модули меняют знак две. Интервалы, раскрытия модулей (в скобках укажем знаки раскрытия):
Второй вариант, (b = 0). Точка, где модули меняют знак, одна. Интервалы, раскрытия модулей:
Третий вариант, (b > 0). Точки, где модули меняют знак, две. Интервалы, раскрытия модулей:
Как видим, среди перечисленных вариантов присутствуют все четыре варианта раскрытия модулей. Поэтому рассмотреть необходимо их всех. Для нахождения числа корней уравнения в зависимости от параметра, для каждого раскрытия необходимо построить график, и найти точки его пересечения с графиком b=const (ниже изобразим все четыре варианта раскрытия на одном графике).
Раскрытие (– –):
Приводим подобные:
Приводим к каноническому виду окружности:
Или:
В координатах (x-b) это уравнение окружности с центром (-1;0) и радиусом 1. Пересечение в одной точке с графиком b=const возможно в двух точках касания:
Раскрытие (– +):
Приводим подобные:
Приводим к каноническому виду окружности:
Или:
В координатах (x-b) это уравнение окружности с центром (0;1) и радиусом 1. Пересечение в одной точке с графиком b=const возможно в двух точках касания:
Раскрытие (+ –):
Приводим подобные:
Приводим к каноническому виду окружности:
Или:
В координатах (x-b) это уравнение окружности с центром (0;–1) и радиусом 1. Пересечение в одной точке с графиком b=const возможно в двух точках касания:
Раскрытие (+ +):
Приводим подобные:
Приводим к каноническому виду окружности:
Или:
В координатах (x-b) это уравнение окружности с центром (1;0) и радиусом 1. Пересечение в одной точке с графиком b=const возможно в двух точках касания:
Изобразим все четыре окружности, и графики b=const для всех четырёх случаев касаний:
Возвращаемся к рассмотрению трёх вариантов параметра, укажем решения для каждого варианта:
Первый вариант, (b < 0):
Здесь, с учётом условий по x и по b существует только одно возможное решение:
Второй вариант, (b = 0):
Здесь нет значений параметра, которые бы отвечали условиям, и давали бы точки ответа.
Третий вариант, (b > 0):
Снова, с учётом условий по x и по b видим, что существует только одно возможное решение:
В итоге, по всем трём вариантам параметра имеем множество решений:
Делаем обратную подстановку:
Откуда получаем ответ:
Замечание
Для проверки построим анимированный график функции:
Параметр обозначим точкой на оси абсцисс:
Как видим, график пересекает ось один раз (точнее, касается оси в одной точке) только в двух указанных значениях параметра.
