Добавить в корзинуПозвонить
Найти в Дзене

Математики - люди ленивые…

Именно эта фраза в какой-то момент стала одной из самых популярных на моих занятиях с учениками всех возрастов. А ведь и в самом деле... Сколько всего придумано, чтобы меньше считать.  Начнём, пожалуй, с самых простых примеров: ✔️Нам лень записывать многократное умножение одинаковых выражений. Мы используем степени.  ✔️Нам лень многократно складывать числа. Мы используем умножение. Слишком банально? Хорошо, давайте усложним: ✔️Нам лень перемножать большие числа, а потом делить их друг на друга. Мы рисуем дробную черту и благополучно сокращаем. ✔️Нам лень каждый раз делить столбиком и проверять, целый результат или нет. Мы учим признаки делимости. ✔️Нам лень проводить много манипуляций с числами. Мы используем формулы сокращённого умножения. Давайте убедимся в последнем утверждении на примере Что будет делать ученик, который не выучил или забыл формулы сокращённого умножения? Конечно, подставлять вместо переменной данное число и считать «в лоб». Кстати, напомню - калькулятора для нас н

Именно эта фраза в какой-то момент стала одной из самых популярных на моих занятиях с учениками всех возрастов.

А ведь и в самом деле... Сколько всего придумано, чтобы меньше считать. 

Начнём, пожалуй, с самых простых примеров:

✔️Нам лень записывать многократное умножение одинаковых выражений. Мы используем степени. 

✔️Нам лень многократно складывать числа. Мы используем умножение.

Слишком банально? Хорошо, давайте усложним:

✔️Нам лень перемножать большие числа, а потом делить их друг на друга. Мы рисуем дробную черту и благополучно сокращаем.

✔️Нам лень каждый раз делить столбиком и проверять, целый результат или нет. Мы учим признаки делимости.

✔️Нам лень проводить много манипуляций с числами. Мы используем формулы сокращённого умножения.

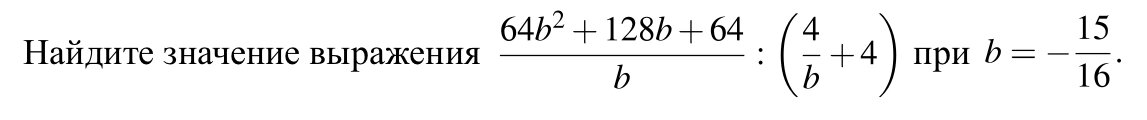
Давайте убедимся в последнем утверждении на примере

Задание взято из ВПР для учеников 8го класса
Задание взято из ВПР для учеников 8го класса

Что будет делать ученик, который не выучил или забыл формулы сокращённого умножения? Конечно, подставлять вместо переменной данное число и считать «в лоб».

И это только числитель!
И это только числитель!

Кстати, напомню - калькулятора для нас не существует и все вычисления мы проводим самостоятельно. На фото выше я нашла только значение числителя, не забывая при этом про своевременное сокращение. А нам ещё нужно это на b поделить и на значение скобки умножить… Честно? Мне уже лень продолжать, да и вряд ли это кому-то интересно. 

Давайте теперь рассмотрим грамотное и аккуратное решение:

Разбор задания с ресурса «решу ВПР»
Разбор задания с ресурса «решу ВПР»

Здесь вынесли за скобки общий множитель в числителе первой дроби, привели к общему знаменателю выражение в скобках, затем применили формулу квадрата суммы и случилось «чудо» - мы получили одинаковые скобки, которые со спокойной душой можно сократить. В результате мы получаем выражение, значение которого сможет устно найти даже шестиклассник. Быстро, удобно, да и о калькуляторе даже думать не пришлось.

Вы скажете, что тогда приходится многое учить... Отвечу: да, конечно! 

Математики - люди ленивые, но не глупые. 😏И проще один раз понять, несколько раз отработать, выучить и потом при необходимости использовать полученные знания. В перспективе это экономит уйму времени и позволяет избежать множества ошибок. 

Давайте правильно лениться вместе :)🐾

-4