Добавить в корзинуПозвонить
Найти в Дзене

Как решить неравенство?

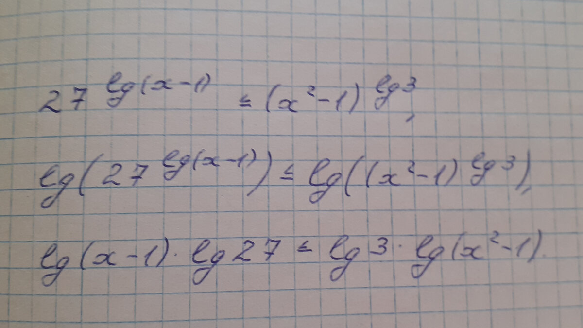
Математика онлайн. Доступно о сложном. Серия «Задачи профильного ЕГЭ» Здравствуйте! Сегодня у нас – неравенство из сборника под редакцией Ященко И.В. для профильного ЕГЭ. Начнем с нахождения области определения. Подлогарифмическое выражение в левой части должно быть строго положительно., откуда x>1. При этих значениях аргумента правая часть также будет положительной. Внимательно рассмотрим неравенство. Видим, что в левой части переменная стоит в показателе степени, а в правой – в основании. Чтобы преодолеть эту сложность, прологарифмируем обе части неравенства. Будем использовать десятичный логарифм, поэтому знак неравенства не изменится. Видим, что неравенство значительно упростилось. Далее сократим левую и правую части на число lg(3), отличное от нуля, и получим разность логарифмов в левой части. Затем эту разность представим в виде логарифма частного. Сокращение подлогарифмического неравенства возможно благодаря условию x>1 (см. нахождение области определения). Остается представ

Математика онлайн. Доступно о сложном. Серия «Задачи профильного ЕГЭ»

Как решить?
Как решить?

Здравствуйте!

Сегодня у нас – неравенство из сборника под редакцией Ященко И.В. для профильного ЕГЭ.

Начнем с нахождения области определения.

Подлогарифмическое выражение в левой части должно быть строго положительно., откуда x>1.

При этих значениях аргумента правая часть также будет положительной.

Внимательно рассмотрим неравенство.

Видим, что в левой части переменная стоит в показателе степени, а в правой – в основании. Чтобы преодолеть эту сложность, прологарифмируем обе части неравенства.

Будем использовать десятичный логарифм, поэтому знак неравенства не изменится.

Логарифмируем обе части неравенства
Логарифмируем обе части неравенства

Видим, что неравенство значительно упростилось.

Далее сократим левую и правую части на число lg(3), отличное от нуля, и получим разность логарифмов в левой части.

Дальнейшее упрощение неравенства
Дальнейшее упрощение неравенства

Затем эту разность представим в виде логарифма частного. Сокращение подлогарифмического неравенства возможно благодаря условию x>1 (см. нахождение области определения).

Получили логарифм частного
Получили логарифм частного

Остается представить нуль в правой части в виде десятичного логарифма единицы, перейти к рациональному неравенству и упростить его.

На выходе имеем рациональное неравенство
На выходе имеем рациональное неравенство

Последний шаг – решаем рациональное неравенство методом интервалов.

При этом не забываем учесть область определения.

Применяем метод интервалов
Применяем метод интервалов

Ответ готов.