Добавить в корзинуПозвонить
Найти в Дзене
Алина Акишина

Московский пробник ЕГЭ по математике 03.12.2022. Часть 2

Продолжение пробника за 03.12.2022 ЕГЭ по математике профилю. Задания можно посмотреть здесь. Первая часть здесь. Задание 12 Само уравнение для решения не сложное, но основная проблема - верно учесть условия, которые возникают из-за знаменателя. Задание 13 По стереометрии задача вполне классическая, сечение не сложное. Аккуратный подсчёт и главное - не бояться некрасивых чисел в пункте б. Задание 14 Параллельно рассмотрела задания из двух вариантов пробника. Решение через классическую замену. Задание 15 Задачи на вклады хоть и не сложные, но неприятные именно в рамках подсчёта. Медленные и верные расчёты. Плюс информация о том, что один вклад выгоднее другого, должна говорить о том, что сумма после нескольких лет на более выгодном вкладе оказывается больше, чем в другом, при равных первоначальных взносах. Задание 16 Первый пункт может испугать тех, кто не сильно много решают планиметрию. Тем не менее, доказательство не сильно длинное и основывается на свойствах квадратов. Задание 17
Оглавление

Продолжение пробника за 03.12.2022 ЕГЭ по математике профилю.

Задания можно посмотреть здесь.

Первая часть здесь.

Задание 12

Само уравнение для решения не сложное, но основная проблема - верно учесть условия, которые возникают из-за знаменателя.

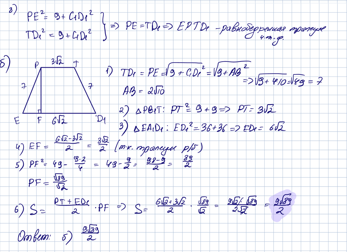
Задание 13

По стереометрии задача вполне классическая, сечение не сложное. Аккуратный подсчёт и главное - не бояться некрасивых чисел в пункте б.

Задание 14

Параллельно рассмотрела задания из двух вариантов пробника. Решение через классическую замену.

Задание 15

Задачи на вклады хоть и не сложные, но неприятные именно в рамках подсчёта. Медленные и верные расчёты. Плюс информация о том, что один вклад выгоднее другого, должна говорить о том, что сумма после нескольких лет на более выгодном вкладе оказывается больше, чем в другом, при равных первоначальных взносах.

Задание 16

Первый пункт может испугать тех, кто не сильно много решают планиметрию. Тем не менее, доказательство не сильно длинное и основывается на свойствах квадратов.

Задание 17

Хорошее задание, мне понравилось. Оно комбинирует в себе навыки разложения на скобки (метод группировки), умение строить графики, работать с плоскостью АоХ. А также умение работать с методом областей на графике. После этих манипуляций, ответ записывается тут же.

Задание 18

А вот эта задача поинтереснее. На мой взгляд, не одна из тех, которые легко решаются, даже если не решаешь 18-ые задания (пункты а и б). Потому что подобрать здесь сложнее, нужен некий анализ. Но, при этом, в рамках чистовика мы должны ответить да(+ пример) или нет (+доказать почему). Как мы пришли к примеру при ответе "да" пояснять не нужно.

Как вам задания второй части? Что испугало или показалось сложным?

#егэ #егэпоматематике #егэпрофиль #математикаразборы #пробникегэ #пробникматематика #егэразбор