Найти в Дзене
Dr. Stone о химии

Титрометрические методы анализа

Метод основан на том, что вещества реагируют друг с другом в эквивалентных количествах. Титрометрический анализ - метод определения количества вещества путем точного измерения объема веществ, вступающих между собой в реакцию. В момент титрования, когда количество прибавленного титранта (стандартный р-р.) химически эквивалентное количество титруемого вещества называется точкой эквивалентности. Классификация титрования По типу реакции: 3. Комплексонометрические титрование 4. Осадительное титрование Главная задача - это правильно определить точку эквивалентности. Способы титрования Этапы титрования
Оглавление

Метод основан на том, что вещества реагируют друг с другом в эквивалентных количествах.

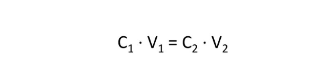
Сн - концентрация нормальная
Сн - концентрация нормальная

Титрометрический анализ - метод определения количества вещества путем точного измерения объема веществ, вступающих между собой в реакцию.

В момент титрования, когда количество прибавленного титранта (стандартный р-р.) химически эквивалентное количество титруемого вещества называется точкой эквивалентности.

Классификация титрования

По типу реакции:

  1. Кислотно-основное титрование
  2. Окислительно-восстановительное титрование (Redox-метрия)
  • перманганатометрия
  • йодометрия
  • броматометрия
  • дихроматометрия

3. Комплексонометрические титрование

4. Осадительное титрование

Главная задача - это правильно определить точку эквивалентности.

Способы титрования

  • Прямое титрование (титрант к титруемому веществу)
  • Обратное титрование (титрование с избытком)
  • Косвенное титрование (оттитровывание продукта реакции)

Этапы титрования

-2
  • 1 этап. Анализируемый раствор с помощью пипетки вносят в колбу для титрования.
  • 2 этап. Добавление индикатора для возможности увидеть точку эквивалентности.
  • 3 этап. Устанавливаем бюретку в штатив, наполняют титрантом до начала отчета (т.е. до 0).
  • 4 этап. Постепенно, по каплям, приливаем титрант к анализируемому раствору. Приливаем до изменения окраски.
  • 5 этап. Когда произошло изменение окраски прекращаем титрование, записываем объем титранта, пошедшего на титрование.