Добавить в корзинуПозвонить
Найти в Дзене
Работа, учёба и отдых

Закрепление темы "Бинарные отношения"

В лекциях "Теория множеств: бинарные отношения" https://dzen.ru/media/id/603a418d1684900aa2499416/623a80b75ad1380b5eed16c8 и "Бинарные отношения, заданные на одном множестве" https://dzen.ru/media/id/603a418d1684900aa2499416/623bd4ad9bd6df36891b50fb представлено определение декартового произведения, сформулировано понятие бинарного отношения и рассмотрены различные способы задания как произвольных, так и бинарных отношений, а также определены свойства бинарных отношений. Для закрепления указанных определений предлагается рассмотреть практическое решение соответствующих практических задач, разбор которых позволит на различных примерах понять изученный по ссылке выше теоретический материал. Упражнение 1. Пусть задано множество A, определите следующие декартовы произведения: декартов квадрат (множество A в степени, равной 2), декартов куб (множество A в степени, равной 3) и множество A в степени, равной 4. Решение упражнения 1. Варианты для самостоятельного решения. Решите самостоятельно

В лекциях "Теория множеств: бинарные отношения" https://dzen.ru/media/id/603a418d1684900aa2499416/623a80b75ad1380b5eed16c8 и "Бинарные отношения, заданные на одном множестве" https://dzen.ru/media/id/603a418d1684900aa2499416/623bd4ad9bd6df36891b50fb представлено определение декартового произведения, сформулировано понятие бинарного отношения и рассмотрены различные способы задания как произвольных, так и бинарных отношений, а также определены свойства бинарных отношений.

Для закрепления указанных определений предлагается рассмотреть практическое решение соответствующих практических задач, разбор которых позволит на различных примерах понять изученный по ссылке выше теоретический материал.

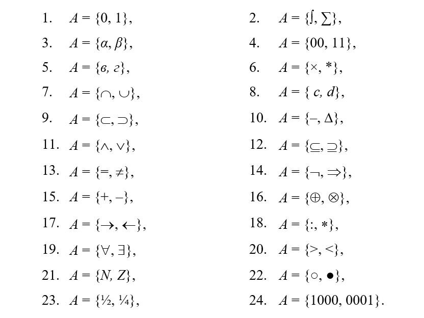
Упражнение 1. Пусть задано множество A, определите следующие декартовы произведения: декартов квадрат (множество A в степени, равной 2), декартов куб (множество A в степени, равной 3) и множество A в степени, равной 4.

Решение упражнения 1.

Варианты для самостоятельного решения. Решите самостоятельно и приведите решение в виде комментария под лекцией.

Варианты для самостоятельного решения Упражнения 1
Варианты для самостоятельного решения Упражнения 1

Упражнение 2. Проверьте справедливость равенства α для следующих множеств А = {1, 2}, B = {2, 3}, С = {1, 3}.

Выясните, верно ли выражение (варианты для самостоятельного решения представлены ниже) для произвольных А, B, С.

Решение упражнения 2.

-3

Варианты для самостоятельного решения. Решите самостоятельно и приведите решение в виде комментария под лекцией.

Варианты для самостоятельного решения Упражнения 2
Варианты для самостоятельного решения Упражнения 2

Упражнение 3.

-5

Решение упражнения 3.

-6

Варианты для самостоятельного решения. Решите самостоятельно и приведите решение в виде комментария под лекцией.

Варианты для самостоятельного решения Упражнения 3
Варианты для самостоятельного решения Упражнения 3

Упражнение 4. Бинарное отношение R4 = {(4,4), (4,2), (4,1), (3,3), (3,1), (2,2), (2,1), (1,1)} задано перечнем упорядоченных пар, запишите это бинарное отношение различными способами (варианты для самостоятельного решения представлены ниже).

Решение упражнения 4.

В лекции https://dzen.ru/media/id/603a418d1684900aa2499416/623a80b75ad1380b5eed16c8 представлены следующие способы здания бинарных отношений:

1. Перечисление элементов - таким способом задано первоначальное бинарное отношение.

2. С использованием характеристического свойства:

R4 = {(x, y): x делится на y нацело}.

3. В виде графика на декартовой плоскости: график бинарного отношения изображается в декартовой системе координат: на горизонтальной оси отмечается область определения, на вертикальной - об­ласть значений бинарного отношения:

График бинарного отношения R4
График бинарного отношения R4

4. В виде схемы: схема бинарного отношения изображается с помощью двух вертикальных прямых, левая из которых соответствует области определения, а правая — множеству значений бинарного отношения:

Схема бинарного отношения R4
Схема бинарного отношения R4

5. С использованием матриц:

-10

6. Основан на понятии «ориентированный граф».

-11

Варианты для самостоятельного решения. Решите самостоятельно и приведите решение в виде комментария под лекцией.

Варианты для самостоятельного решения Упражнения 4
Варианты для самостоятельного решения Упражнения 4

Упражнение 5.

-13

Решение упражнения 5.

-14
-15
-16
-17
-18
-19

Варианты для самостоятельного решения. Решите самостоятельно и приведите решение в виде комментария под лекцией.

Варианты для самостоятельного решения Упражнения 5
Варианты для самостоятельного решения Упражнения 5