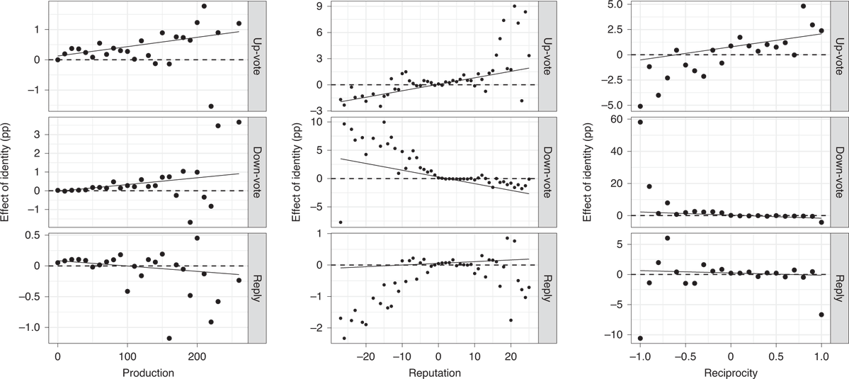
Эффект Матфея ослабляется переключением пользователей с Системы 1 на Систему 2 Оказалось, что помимо пресловутого «закона Матфея», наше внимание к контенту социальных медиа и его оценка сильнейшим образом зависят от того, какой системой обработки информации мы воспринимаем контент. Только опубликованные результаты исследования MIT Sloan экспериментально подтверждают, насколько сильно алгоритмы соцсетей (и прочие соцмедиа) искажают для людей картину мира. А именно: И то, и другое давно обсуждается, но прямые доказательства экспериментально получены впервые. Степень влияния персоны автора контента на его оценку читателем огромна — она превосходит значимость самого контента и доходит до 61%. Но это еще не все результаты исследования. Выяснилось следующее. Указание авторства контента также заставляет читателей почти мгновенно, интуитивно, «в автоматическом режиме» оценивать контент (автор известный — лайк; неизвестный — поехали дальше). Так почти рефлекторно у читателя работает Система 1 (
В цифровых мирах неравенство можно уменьшить
11 ноября 202211 ноя 2022
249
2 мин
