Добавить в корзинуПозвонить
Найти в Дзене

Знаете ли вы, что магнитное поле не самостоятельно и является лишь частью релятивистской поправки к электрическому полю?

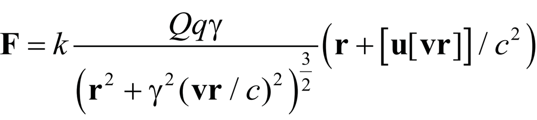
Псевдосимметрия сформулированных в 1860-х годах уравнений Максвелла относительно электрического и магнитного полей, на протяжении столетий вызывала иллюзию равносильности электрического и магнитного полей в электродинамике у многих дилетантов и специалистов. Такой подход никогда не способствовал пониманию сути электродинамики, ее красивых и удивительных идей, а также важных следствий. Но в 21 веке достоверно известно, что магнитное поле не самостоятельно и является всего лишь релятивистской поправкой к электрическому полю. Если быть пунктуальным, то магнитное поле является лишь частью релятивистской поправки к электрическому полю. На рисунке преобразование Лоренца от силы Кулона.

Псевдосимметрия сформулированных в 1860-х годах уравнений Максвелла относительно электрического и магнитного полей, на протяжении столетий вызывала иллюзию равносильности электрического и магнитного полей в электродинамике у многих дилетантов и специалистов. Такой подход никогда не способствовал пониманию сути электродинамики, ее красивых и удивительных идей, а также важных следствий. Но в 21 веке достоверно известно, что магнитное поле не самостоятельно и является всего лишь релятивистской поправкой к электрическому полю. Если быть пунктуальным, то магнитное поле является лишь частью релятивистской поправки к электрическому полю. На рисунке преобразование Лоренца от силы Кулона.