Найти в Дзене
Из истории науки

История развития теории чисел

Потребности счёта привели человека к понятию натурального числа. Постепенно математики Вавилона, Египта, Китая, Греции ещё до новой эры заложили основы науки — теории чисел, изучающей свойства натуральных чисел, в частности вопросы распределения простых чисел среди натуральных. В России и в Советском Союзе крупнейшими представителями теории чисел были Л. Эйлер, П. Л. Чебышёв, И. М. Виноградов. Большой вклад в теорию чисел внёс величайший математик Леонард Эйлер (1707— 1783). Современники считали Л. Эйлера общим учителем математиков второй половины XVIII в., но он был также выдающимся механиком и физиком. По происхождению Эйлер был швейцарцем, однако более 30 лет он прожил в России, где его избрали академиком — членом Петербургской академии наук. Свои основные научные работы Эйлер написал в Петербурге. Он так описывает роль России в своём творчестве: «Его ко­ролевское величество (Фридрих II) недавно меня спрашивал, где я изучил то, что знаю. Я, согласно истине, ответил, что всем обязан

Потребности счёта привели человека к понятию натурального числа. Постепенно математики Вавилона, Египта, Китая, Греции ещё до новой эры заложили основы науки — теории чисел, изучающей свойства натуральных чисел, в частности вопросы распределения простых чисел среди натуральных.

В России и в Советском Союзе крупнейшими представителями теории чисел были Л. Эйлер, П. Л. Чебышёв, И. М. Виноградов.

Большой вклад в теорию чисел внёс величайший математик Леонард Эйлер (1707— 1783). Современники считали Л. Эйлера общим учителем математиков второй половины XVIII в., но он был также выдающимся механиком и физиком. По происхождению Эйлер был швейцарцем, однако более 30 лет он прожил в России, где его избрали академиком — членом Петербургской академии наук. Свои основные научные работы Эйлер написал в Петербурге. Он так описывает роль России в своём творчестве: «Его ко­ролевское величество (Фридрих II) недавно меня спрашивал, где я изучил то, что знаю. Я, согласно истине, ответил, что всем обязан своему пребыванию в Петербургской академии наук».

Л. Эйлер написал учебник «Полное введение в алгебру», по образцу которого в дальнейшем писались другие учебники алгебры.

В XIX в. многие задачи теории чисел были решены великим русским учёным академиком Пафнутием Львовичем Чебышёвым (1821—1894). Он внёс большой вклад и в другие направления математики, а также механики, в теорию вероятностей, теорию механизмов, теорию функций и т. д.

В XX в. крупнейшим представителем теории чисел был советский математик академик Иван Матвеевич Виноградов (1891— 1983), директор математического Института Академии наук СССР.

Приведём примеры отдельных решённых и нерешённых проблем в теории чисел.

П. Л. Чебышёв показал, что среди натуральных чисел от п до 2п (п > 1) имеется хотя бы одно простое число.

И. М. Виноградов доказал для достаточно больших чисел проблему Гольдбаха, остававшуюся нерешённой 200 лет: любое нечётное число, большее 5, есть сумма трех простых чисел. Однако для всех нечётных чисел проблема Гольдбаха до сих пор не решена.

До сих пор не подтверждено также высказывание Эйлера (проблема Эйлера): каждое чётное число, большее 4, можно представить как сумму двух простых чисел.

Математиков давно уже занимает следующий вопрос. Пусть N— натуральное число, a a(N)— количество простых чисел, не превышающих N.Надо возможно точнее оценить число a(N).Существенный вклад в решение этого вопроса внёс П. Л. Чебышёв.

В связи с необходимостью измерять различные величины — длины, площади, объёмы, массы и др. — наряду с натуральными числами возникли дробные или положительные рациональные числа. Дробные числа использовались математиками ещё до новой эры. Результаты практических измерений обыкновенно даются рациональными числами, выражающими при­ближённо измеряемую величину. При этом широко употребляют конечные десятичные дроби.

По-видимому, впервые десятичные дроби появились в Китае, и связано это с десятичной системой мер, которая существовала здесь ещё во II в. до н. э.

В 1427 г. самаркандский математик и астроном Джемшид ибн Масуд аль-Каши подробно описал систему десятичных дробей и действий над ними. В Европе десятичные дроби стали известны через 100 с лишним лет после этого благодаря трудам нидерландского инженера и учёного С. Стевина. В русской литературе учение о десятичных дробях было впервые изложено в "Арифметике" Леонтия Филипповича Магницкого (1669—1739) — первом русском печатном учебнике по математике (1703).

Десятичные дроби благодаря простой записи и сходным с натуральными числами правилам действий получили широкое распространение в практических расчётах.

Древние греки за несколько столетий до новой эры обнаружили, что наряду с рациональными отрезками, т. е. отрезками, имеющими длины, выражаемые рациональными числами, имеются также нерациональные отрезки, длины которых выражаются рациональными числами только приближённо. Для точного выражения требуется введение новых чисел. Греки, например, умели доказывать, что диагональ квадрата со стороной длины 1 не выражается рациональным числом.

Ход их рассуждений был примерно таков.

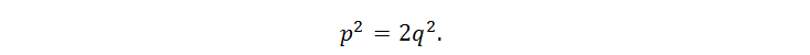
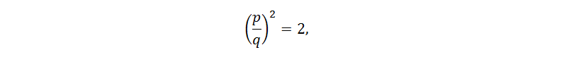
Предположим противное, что длина диагонали есть рациональное число p/q, где p/q — несократимая дробь. Так как площадь квадрата ACMN (рис. 1), построенного на диагонали АС квадрата ABCD, равна двум площадям квадрата ABCD, то

т.е.

-2
Рис. 1
Рис. 1

Так как правая часть этого равенства делится на 2, то и левая часть делится на 2. Это означает, что p – четное число:

-4

так как если p – нечетное число, то и

-5

Сократив равенство

-6

на 2, получим, что левая часть полученного равенства

-7

делится на 2, но тогда

-8

т.е. q должно быть четным числом:

-9

Это означает, что дробь p/q сократимая, что противоречит условию.

Следовательно, наше предположение неверно, и поэтому длина диагонали не выражается рациональным числом. Она выражается иррациональным числом.

Таким образом, при решении математических задач стали появляться иррациональные (нерациональные) числа. Такими, например, являются числа, квадраты которых равны 2, 3, 17. Примеры таких чисел знал, а может быть, и впервые их открыл Пифагор знаменитый греческий математик VI в. до н. э.

Важную роль в математике играет число, равное отношению длины окружности к её диаметру. Обозначение этого числа греческой буквой π («пи») получило в XVIII в. широкое распространение после работ Л. Эйлера.

Учёные вычисляли приближённо значение π с разной точностью. Так, великий греческий математик и механик Архимед (III в. до н. э.) доказал неравенства

-10

Д. аль-Каши выразил приближение π шестидесятеричной дробью

-11

Но только в XVIII в. было доказано, что число π иррациональное.

Ещё во II—I вв. до н. э. китайские учёные использовали отрицательные числа для обозначения противоположных состояний: наличие — отсутствие, имущество — долг, приход — расход и т. д.

Отрицательные числа использовали и индийские математики в VII в. н. э.

В Европе первым к понятию отрицательного числа пришёл итальянский математик Леонардо Пизанский (Фибоначчи) в XIII в. Когда при решении, уравнений у него получались отрицательные ответы, он объяснял их как долг.

Много веков отрицательные числа считались чем-то надуманным и мало применялись в математике. Широкое распространение они получили после введения в математику координатной оси. Ведь координатная ось имеет два направления, поэтому все её точки нельзя представить только положительными числами — нужны и отрицательные.