Добавить в корзинуПозвонить
Найти в Дзене
Martinian

Батарея нашего Nissan Leaf - на 40 кВтч. Какая у неё доступная ёмкость на самом деле?

Привет, уважаемая публика! К сожалению, Nissan для своей модели Leaf указывает не реально доступную, а номинальную ёмкость высоковольтной батареи. В случае с машиной второго поколения это либо 40 кВтч, либо 62 кВтч (в зависимости от модификации). Поскольку уже более 10 месяцев в нашей семье живёт Leaf II с 40-ой батареей, у меня есть возможность наблюдать за тем, сколько кВтч на самом деле "залезает" в батарею при зарядке до 100%, и сколько из них реально доступно для езды, (да, это разные величины). Именно об этом и пойдёт речь в сегодняшней статье. Какая ёмкость в теории Какое количество кВтч при полной зарядке заходит в батарею нового Nissan Leaf - точно никто в нашей стране не знает, поскольку никто не покупает у нас новые Лифы. Народ в основном приобретает машины с пробегом, и в большинстве случаев это модель первого поколения, (у которой были батареи на 24 кВтч и на 30 кВтч). По машинам второго поколения статистики ещё меньше... Однако, удалось найти сравнительную табличку по зап
Оглавление

Привет, уважаемая публика!

К сожалению, Nissan для своей модели Leaf указывает не реально доступную, а номинальную ёмкость высоковольтной батареи. В случае с машиной второго поколения это либо 40 кВтч, либо 62 кВтч (в зависимости от модификации).

Давно готовлю материал про автопилот на Nissan Leaf II, совсем скоро он выйдет - подписывайтесь, чтобы не пропустить
Давно готовлю материал про автопилот на Nissan Leaf II, совсем скоро он выйдет - подписывайтесь, чтобы не пропустить

Поскольку уже более 10 месяцев в нашей семье живёт Leaf II с 40-ой батареей, у меня есть возможность наблюдать за тем, сколько кВтч на самом деле "залезает" в батарею при зарядке до 100%, и сколько из них реально доступно для езды, (да, это разные величины). Именно об этом и пойдёт речь в сегодняшней статье.

Какая ёмкость в теории

Какое количество кВтч при полной зарядке заходит в батарею нового Nissan Leaf - точно никто в нашей стране не знает, поскольку никто не покупает у нас новые Лифы. Народ в основном приобретает машины с пробегом, и в большинстве случаев это модель первого поколения, (у которой были батареи на 24 кВтч и на 30 кВтч).

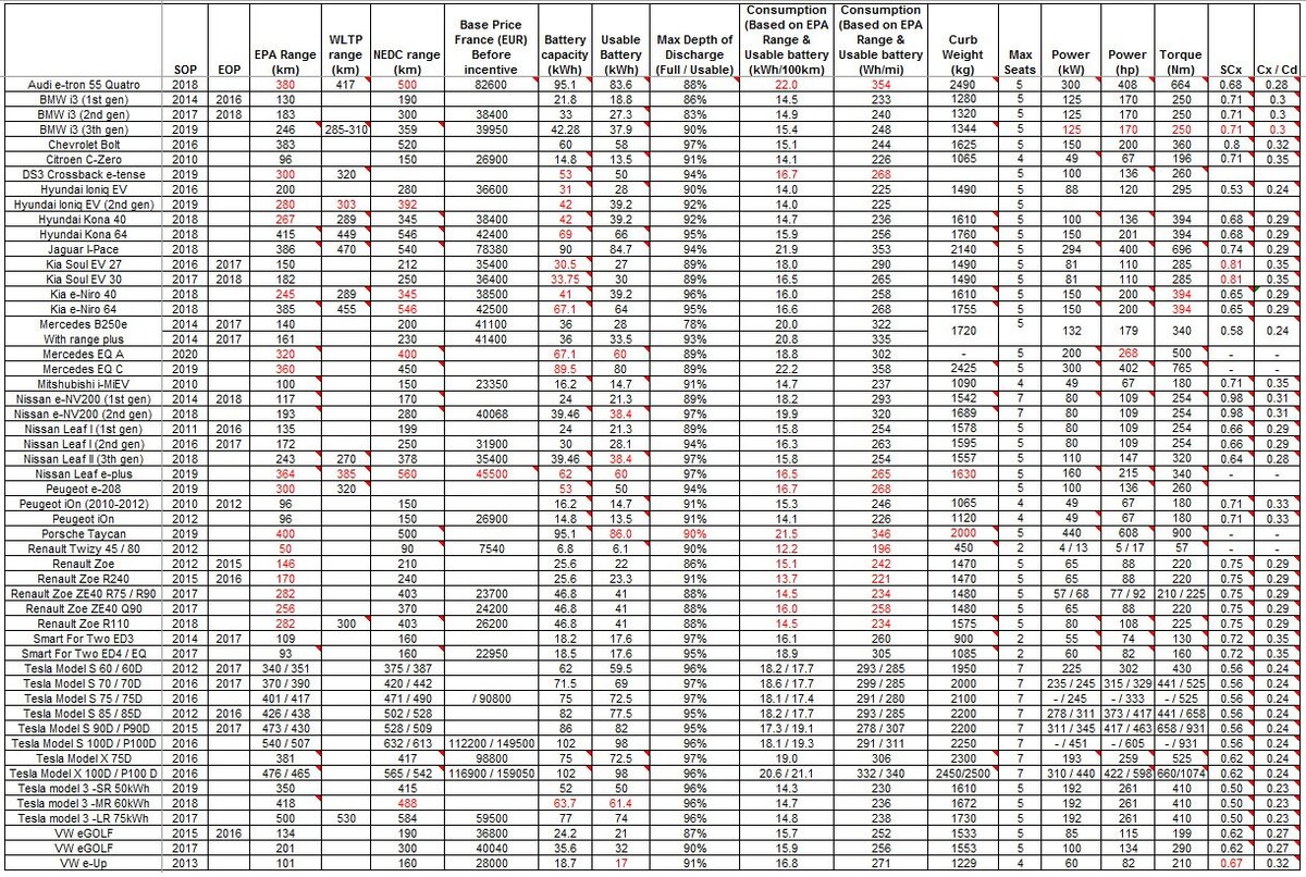
По машинам второго поколения статистики ещё меньше... Однако, удалось найти сравнительную табличку по запасу хода разных моделей электрокаров по циклу EPA, в которой в том числе есть данные по реально доступной ёмкости их батарей. И Leaf в ней тоже присутствует. За неимением других данных предлагаю взять её за основу.

Сравнительная таблица запаса хода по циклу EPA
Сравнительная таблица запаса хода по циклу EPA

Итак, в теории у Nissan Leaf II с батареей на 40 кВтч:

  • полная номинальная ёмкость батареи = 39,6 кВтч
  • доступная (реально используемая) ёмкость батареи = 38,4 кВтч

То есть пользователю доступно ни много ни мало, а 97% от номинальной ёмкости. И, на самом деле, это очень хороший показатель.

Для сравнения: у BMW i3 с батареей на 33 кВтч доступно лишь 83% ёмкости, у Tesla Model S с батареей на 102 кВтч - 96%, а у Hyundai Ioniq с батареей на 31 кВтч - лишь 90%.

Но это всё только теория. А что на практике?

Ремейн Nissan Leaf II - величина нестабильная

Максимальное количество энергии, поместившееся в батарею электромобиля при полной зарядке, на языке электроводов называют термином "ремейн".

Если говорить о Nissan Leaf, то наблюдать за ремейном, (а также за многими другими показателями), позволяет, в частности, приложение "LeafSpy". Подключение к машине происходит через специальный OBD-адаптер.

Скрин из приложения LeafSpy: ремейн выделил красным овалом, показания температурных датчиков в батарее - зелёным овалом
Скрин из приложения LeafSpy: ремейн выделил красным овалом, показания температурных датчиков в батарее - зелёным овалом

Так вот, по результатам моих 10-месячных наблюдений, могу со всей ответственностью сказать, что ремейн Nissan Leaf II - это величина непостоянная. То есть то кол-во киловатт-часов, которое показывает LeafSpy после того, как батарея зарядилась до 100% и зарядка отключилась - оно каждый раз разное.

Не могу сейчас назвать все факторы, от которых это зависит, но, как минимум, два из них я заметил:

  • температура батареи,
  • мощность зарядки.

При низких показаниях температурных датчиков батареи, (зимний период), в неё помещается меньшее количество кВтч. При более высоких - бОльшее.

С мощностью зарядки та же зависимость - чем выше мощность, тем больше энергии заходит в батарею.

Возможно и наверняка есть и другие факторы, но какие именно, я пока не понял.

Какой "разбег"?

Насколько большая эта разница?

По моим наблюдениям за 10 месяцев и 26 тыс. км. пробега, разница между максимальным и минимальным количеством кВтч после полной зарядки составила 3,3 кВтч. А это, на минуточку, более 8% от доступной ёмкости новой батареи...

Факты

Прежде чем привести конкретные цифры, напомню вводные данные:

  • Nissan Leaf II (европеец из Нидерландов) 2018 г.в.
  • пробег на момент начала наблюдений: 84 тыс. км.
  • SOH (показатель здоровья батареи) на момент начала наблюдений: 90%
  • пробег на сегодняшний день: 111 тыс. км.
  • SOH (показатель здоровья батареи) на сегодняшний день: 86,2%

Минимальное значение ремейна я зафиксировал весной, 13 марта 2022 года: 31,3 кВтч.

По датчикам видно, что батарея замёрзла (минимальное значение: -5,8 градусов Цельсия)
По датчикам видно, что батарея замёрзла (минимальное значение: -5,8 градусов Цельсия)

А вот максимальное значение ремейна я увидел летом, в июле 2022 года: 35,1 кВтч. К сожалению, сейчас не могу найти этот скрин, хотя, вроде бы, я его делал...

Если говорить о других значениях ремейна, то видел самые разные: 32,9 кВтч, 34,2 кВтч, 33,5 кВтч и т.д. Максимальный из тех, которые есть на скрине у меня сейчас, вот такой:

27 мая 2022 г. Температурный режим батареи идеальный. Ремейн = 34,5 кВтч
27 мая 2022 г. Температурный режим батареи идеальный. Ремейн = 34,5 кВтч

Загадка

Если присмотреться к скринам выше, то можно обнаружить интересную особенность: значение SOC (текущий уровень заряда батареи) везде разный, (он наверху справа). И нигде он не равен 100%, хотя на экране бортового компьютера всегда отображается 100%.

То есть машина отключает зарядку и показывает, как будто батарея заряжена полностью, но на самом деле это не так.

Каким образом мозги Лифа определяют тот момент, когда нужно завершить зарядную сессию - для меня до сих пор остаётся загадкой...

Неснижаемый остаток - очень важный момент

Теперь, вроде бы, понятно, что на нашем Лифе, (которому через 5 месяцев стукнет 5 лет), никак не получить более 35,1 кВтч в полностью заряженной батарее.

Но и это, вроде бы, немало. Ведь при среднестатистическом среднем расходе в 15 кВтч/100 км летом, на 35,1 кВтч, вроде как, можно проехать 234 км. Но это не так!

На самом деле, в батарее есть минимальный остаток, ниже которого она не даст себя разрядить! То есть мне доступны не все 35.1 кВтч, а чуть меньше.

Опять же, по наблюдениям остаток в 3 кВтч - это уже прочерки на показателе остатка заряда батареи на экране БК, а остаток в 2-2,5 кВтч - это уже значок "черепашки".

Пиктограмма черепашки - общепризнанный символ для всех электромобилей, сигнализирующий о крайне низком остатке заряда в батарее. Как правило, при его появлении машина ограничивает мощность двигателя и может отключать некоторые функции (климат-контроль и т.п.)
Пиктограмма черепашки - общепризнанный символ для всех электромобилей, сигнализирующий о крайне низком остатке заряда в батарее. Как правило, при его появлении машина ограничивает мощность двигателя и может отключать некоторые функции (климат-контроль и т.п.)

Таким образом, в самом лучшем случае на нашем Лифе будет доступно только 33,1 кВтч. А это уже, согласитесь, далеко не те 40 кВтч, о которых мы думаем, когда слышим фразу "Лиф сороковка".

И это, подчеркну, в самом лучшем случае, когда ремейн максимальный. Гораздо чаще бывает, что в батарею столько не влазит. То есть приходится довольствоваться меньшей ёмкостью, что, разумеется, не лучшим образом влияет на тот запас хода, на который ты можешь рассчитывать.

---

Вот такая вот "арифметика". Если у вас остались вопросы, с радостью отвечу на них в комментариях. А если у вас есть личный опыт эксплуатации электромобиля, обязательно делитесь им ниже. И подписывайтесь на канал - впереди много интересного.

---

Реальный запас хода Nissan Leaf II в России: зима, городская езда с частыми остановками

Реальный пробег Nissan Leaf II в России: весна, много городских поездок с климатом и без

Реальный запас хода Nissan Leaf II в России: лето, езда по трассе с кондиционером

#личный опыт #электромобили #электромобили в россии #nissan #nissan leaf #японские автомобили

Nissan
234,5 тыс интересуются