Одна из формул сокращенного умножения. Произведение суммы и разности двух выражений равно разности квадратов этих выражений: Если поменять левую и правую части в формуле, то можно ее использовать для разложения на множители:
Одна из формул сокращенного умножения. Произведение суммы и разности двух выражений равно разности квадратов этих выражений: Если поменять левую и правую части в формуле, то можно ее использовать для разложения на множители:
...Читать далее
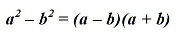
Одна из формул сокращенного умножения.
Произведение суммы и разности двух выражений равно разности квадратов этих выражений:
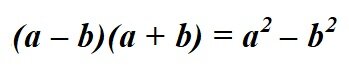
Если поменять левую и правую части в формуле, то можно ее использовать для разложения на множители: