Найти в Дзене
BiTronik iT

Электростатические вольтметры

Электростатические (ЭС) вольтметры применяются в основном для измерения напряжений в высоковольтных цепях как постоянного, так и переменного тока. Электростатический вольтметр представляет собой конденсатор, одна из пластин которого подвижна и закреплена на пружине. Электростатический механизм содержит неподвижную и подвижную пластины, разделенные воздушным зазором (рис. 3.13). К пластинам подведено измеряемое напряжение. Неподвижная пластина 1 образует камеру, в которую втягивается подвижная пластина 2, закрепленная на оси 3. Спиральная пружина 4 служит для создания противодействующего момента Мпр. Геометрия подвижной пластины выбирается такой, чтобы повысить линейность шкалы прибора. где U – напряжение между пластинами; С – емкость между пластинами; α – угол поворота оси стрелки. где Ω – удельный противодействующий момент. Рис. 3.13. Устройство электростатического механизма: 1 – неподвижная пластина; 2 – подвижная пластина; 3 – ось; 4 – спиральная пружина; 5 – стрелка; 6 – шкала Шкал

Электростатические (ЭС) вольтметры применяются в основном для измерения напряжений в высоковольтных цепях как постоянного, так и переменного тока. Электростатический вольтметр представляет собой конденсатор, одна из пластин которого подвижна и закреплена на пружине. Электростатический механизм содержит неподвижную и подвижную пластины, разделенные воздушным зазором (рис. 3.13). К пластинам подведено измеряемое напряжение. Неподвижная пластина 1 образует камеру, в которую втягивается подвижная пластина 2, закрепленная на оси 3. Спиральная пружина 4 служит для создания противодействующего момента Мпр. Геометрия подвижной пластины выбирается такой, чтобы повысить линейность шкалы прибора.

Сила взаимодействия пластин определяется согласно закону Кулона произведением их зарядов. 
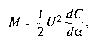
Вращающий момент М:
Сила взаимодействия пластин определяется согласно закону Кулона произведением их зарядов. Вращающий момент М:

где U – напряжение между пластинами;

С – емкость между пластинами;

α – угол поворота оси стрелки.


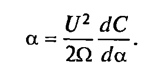
Уравнение шкалы электростатического вольтметра:
Уравнение шкалы электростатического вольтметра:

где Ω – удельный противодействующий момент.

-3

Рис. 3.13. Устройство электростатического механизма:

1 – неподвижная пластина; 2 – подвижная пластина; 3 – ось;

4 – спиральная пружина; 5 – стрелка; 6 – шкала

Шкала такого ЭС вольтметра нелинейна (квадратична).

Электростатический вольтметр пригоден для измерения эффективного значения переменного напряжения. Сила взаимодействия пластин электростатического вольтметра в данном случае периодически меняется во времени, а отклонение подвижной пластины из-за ее инерционности определяется средним за период значением силы, то есть среднеквадратичным значением мгновенного напряжения, которое по определению является эффективным значением напряжения. Частотный диапазон электростатического киловольтметра ограничен только паразитными индуктивностями и может достигать 10 МГц.

Электростатические вольтметры применяются для измерения постоянных и переменных напряжений в диапазонах от десятков вольт до сотен кВ в широком диапазоне частот. Типичный класс точности настольных лабораторных ЭС вольтметров со световым отсчетом – 0,5.

Недостатки ЭС вольтметров:

- нелинейная шкала;

- малая чувствительность;

- необходимость экранирования механизма от внешних электрических полей.