Добавить в корзинуПозвонить
Найти в Дзене
DenoiseLAB

Олимпиадные задачи №24. Международная олимпиада Сербия 2019.

😎Новое мега решение, с международной олимпиады в Сербии (2019) для профи. Не самые простые задачи, но решения простые, важно сделать первый шаг. Опять же использовано множество не совсем тривиальных подходов и преобразований. Все это навело меня на мысль что решения подобных задач прямо связано с оптимизацией при написании кода. Это всегда есть на всех и наших вступительных и олимпиадах, во всей красе. Если что здесь две задачи. 🎶🎶🎶Если будет много шеров и лайков, буду больше выкладывать красоты, готовых решений и полезных материалов🎶🎶🎶 💥Подписывайтесь на наш канал - поддержите нас, ставьте лайки! 🔥Если вы хотите нас поддержать можно сделать вклад в развитие нашей математической лаборатории: https://boosty.to/viyshmat 👉Мы на Profi.ru: https://profi.ru/profile/MironovVO8/ 👉Мы на Repetitor.ru: https://v3.repetitors.info/repetitor/p/MironovVO8/ 👉Мы на HabrFreelance: https://freelance.habr.com/freelancers/MLab 👉Мы на YouDo: https://youdo.com/u9455664
Фото: ВышМат
Фото: ВышМат

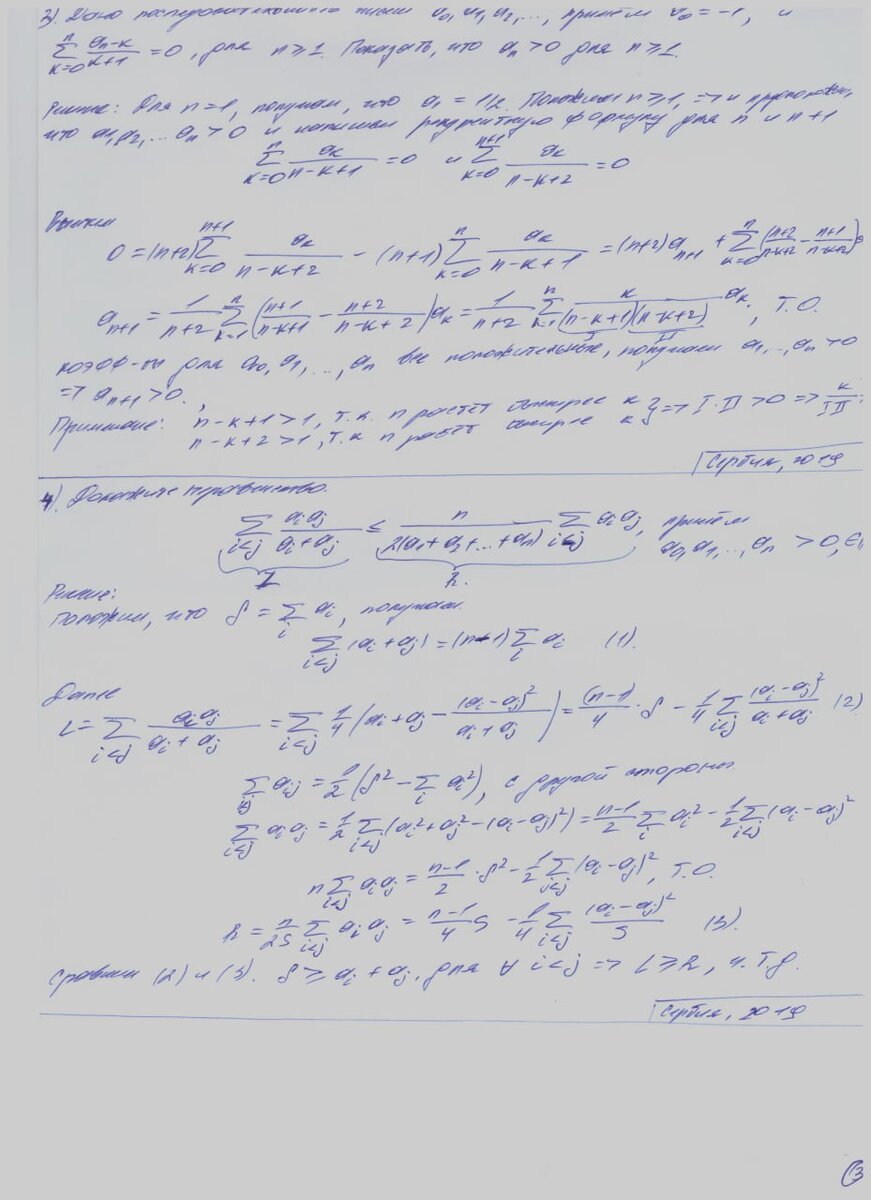
😎Новое мега решение, с международной олимпиады в Сербии (2019) для профи. Не самые простые задачи, но решения простые, важно сделать первый шаг. Опять же использовано множество не совсем тривиальных подходов и преобразований. Все это навело меня на мысль что решения подобных задач прямо связано с оптимизацией при написании кода. Это всегда есть на всех и наших вступительных и олимпиадах, во всей красе.

Если что здесь две задачи.

🎶🎶🎶Если будет много шеров и лайков, буду больше выкладывать красоты, готовых решений и полезных материалов🎶🎶🎶

💥Подписывайтесь на наш канал - поддержите нас, ставьте лайки!

🔥Если вы хотите нас поддержать можно сделать вклад в развитие нашей математической лаборатории: https://boosty.to/viyshmat

👉Мы на Profi.ru: https://profi.ru/profile/MironovVO8/

👉Мы на Repetitor.ru: https://v3.repetitors.info/repetitor/p/MironovVO8/

👉Мы на HabrFreelance: https://freelance.habr.com/freelancers/MLab

👉Мы на YouDo: https://youdo.com/u9455664