Добавить в корзинуПозвонить
Найти в Дзене
ruhelpmath

Подготовка к ОГЭ`2023. Сборник Ященко, 36 вариантов. Вариант 7. Задачи 20-22

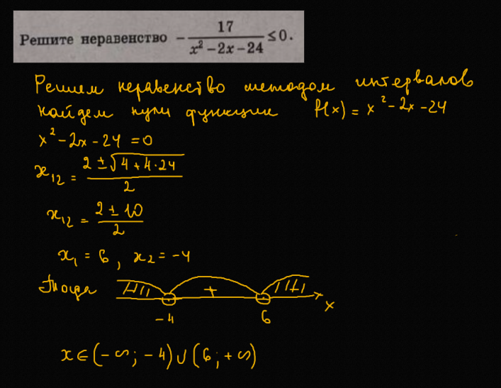
Задача 20. Неравенство. Самый оптимальный способ решения - методом интервалов. Задача 21. Текстовая задача (растворы). Очень простая задачка. Задача 22. График функции.

Задача 20. Неравенство. Самый оптимальный способ решения - методом интервалов.

Задача 21. Текстовая задача (растворы). Очень простая задачка.

-2
-3

Задача 22. График функции.