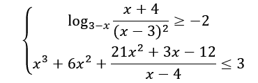
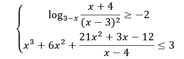
Сегодня мы разберём задание №4139 из банка тестовых заданий для ЕГЭ ФИПИ. Это задание «повышенного» уровня сложности. Напоминаю, для подписчиков предусмотрена возможность получения решений в «вордовском» .DOCX формате со стандартными формулами и рисунками. Кому требуется, делайте запросы в комментариях – я предоставлю файл. Общий список заданий, разобранных на канале, приведён здесь. Задание Решите систему неравенств: Рассуждаем Система довольно громоздкая. В первом логарифмическом неравенстве неизвестная стоит не только в подлогарифмическом выражении, но и в основании. Во втором – многочлен третьей степени, при этом есть неизвестная в знаменателе. Начинать решать такие громоздкие выражения необходимо с установления области допустимых значений (ОДЗ). Подлогарифмическое выражение может быть только положительным, основание логарифма – положительным, не равным единице. Знаменатели не должны быть равны нулю. Далее в первом неравенстве будет удобно перейти к неравенству логарифмов с одинак
Система неравенств с логарифмом и рациональной функцией. Тестовое задание для ЕГЭ №4139.
9 февраля 20239 фев 2023
20
3 мин
