Добавить в корзинуПозвонить
Найти в Дзене
Life.Akbars

«Я начала инвестировать в 53 года»: история пенсионерки

Пенсионерка из Подмосковья Лариса Морозова больше 14 лет инвестирует в российские компании. На полученные дивиденды она смогла посетить 67 стран. Для LifeProfit Лариса рассказала, как начала инвестиционный путь и продолжает оставаться успешным инвестором даже на пенсии. Инвестиционный путь Ларисы Как появилась идея вложений в акции Инвестиционная деятельность Ларисы Морозовой началась в конце 2008 года. Она жила в подмосковном поселке и работала финансовым директором на научно-производственном предприятии. Тогда, в предпенсионном возрасте, у Ларисы были накопления и все необходимое для жизни. В 2008 мировую экономику сотрясал кризис, и финансовая должность обязывала Ларису быть в курсе событий. Интернет еще не был так развит, поэтому она выписывала тематические журналы. Однажды ей попалась подборка 400 лучших компаний России. Ларису заинтересовала колонка по дивидендам предприятий: она проанализировала, что у многих большая прибыль, а котировки низкие. Это значит, можно недорого приобр
Оглавление
Фото: www.shutterstock.com
Фото: www.shutterstock.com

Пенсионерка из Подмосковья Лариса Морозова больше 14 лет инвестирует в российские компании. На полученные дивиденды она смогла посетить 67 стран.

Для LifeProfit Лариса рассказала, как начала инвестиционный путь и продолжает оставаться успешным инвестором даже на пенсии.

Инвестиционный путь Ларисы

Как появилась идея вложений в акции

Инвестиционная деятельность Ларисы Морозовой началась в конце 2008 года. Она жила в подмосковном поселке и работала финансовым директором на научно-производственном предприятии. Тогда, в предпенсионном возрасте, у Ларисы были накопления и все необходимое для жизни.

В 2008 мировую экономику сотрясал кризис, и финансовая должность обязывала Ларису быть в курсе событий. Интернет еще не был так развит, поэтому она выписывала тематические журналы.

Однажды ей попалась подборка 400 лучших компаний России. Ларису заинтересовала колонка по дивидендам предприятий: она проанализировала, что у многих большая прибыль, а котировки низкие. Это значит, можно недорого приобрести акции и получить неплохие дивиденды.

Лариса сопоставила низкие цены акций, выплачиваемые дивиденды и проценты по вкладам у банков. Последние предлагали до 20% годовых, при этом некоторые дивиденды были трехзначными. Значит, с дивидендов можно получить больше, чем с вкладов, подумала Лариса, и решила действовать.

Она не вкладывала свободные средства под проценты в банки из-за кризиса, боялась банкротств финансовых организаций. Поэтому возможность получить прибыль с вложений в акции ее заинтересовала особенно.

Лариса ничего не знала о работе фондового рынка. Через знакомых она нашла телефон справочной одной из госкомпаний, чьи акции ей приглянулись, и выяснила, что купить их можно только через Мосбиржу.

Что понадобилось на старте

Лариса узнала, что для покупки акций нужно открыть брокерский счет. В сельской местности, где она жила, такой услуги не было, поэтому пришлось ехать в райцентр. Там москвичка открыла счет и внесла 10 500 ₽ — эту сумму, говорит она, готова была потерять при неудаче на бирже.

Знания о работе фондового рынка Лариса собирала из книг и журналов. Но в итоге поняла: большинство изданий рассказывают про зарубежные биржи, а для молодого российского рынка это не совсем актуально. Поэтому, говорит героиня, она решила покупать акции компаний, выплачивающих дивиденды.

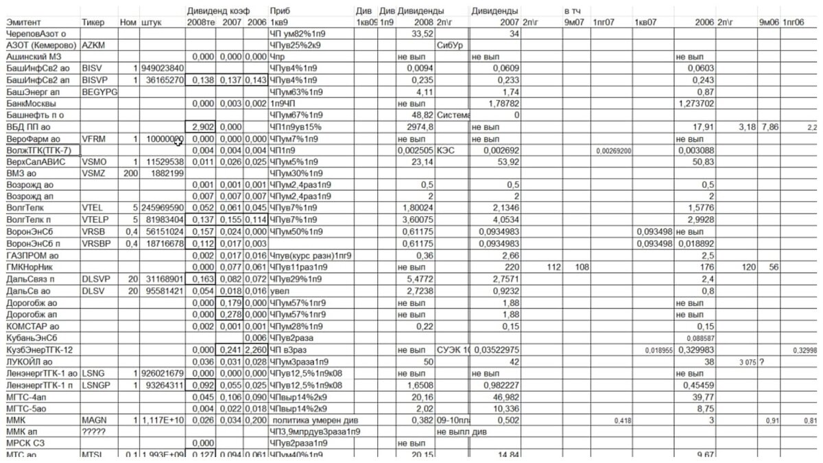
Чтобы определиться, в какие компании вкладывать, Лариса изучала их и заполняла таблицу
Чтобы определиться, в какие компании вкладывать, Лариса изучала их и заполняла таблицу

В декабре 2008 года Лариса купила привилегированные акции одного из банков по 9,36 ₽ за штуку. В 2009 такая акция стоила уже около 60 ₽, а на начало. В 2023 — уже 147,43 ₽. За первый год инвестор получила 30% прибыли на весь объем портфеля.

Весь 2009 год Лариса изучала фондовый рынок. Не ездила в отпуск, продала имеющийся гектар земли и вложилась в акции. На конец 2009 года в ее портфеле были крупные госкомпании и ряд предприятий, которые уже не торгуются на Мосбирже.

Лариса Морозова, частный инвестор

«Все 14 лет я следую одному пути: вкладываюсь в акции компаний, если их крупнейшему владельцу, мажоритарному акционеру, интересна выплата дивидендов. Считаю, на бирже всегда можно получить дивидендов больше, чем с помощью депозита в банке».

Для справки

Мажоритарным акционером можно считать:

  • акционера, владеющим более 50% голосов на общем собрании;
  • того, кто может назначать директора компании;
  • того, кто имеет более 50% голосов в совете директоров.

О том, с какими сложностями начинающий инвестор столкнулась в начале пути, каковы были ее первые доходы от инвестиций, как она живет сейчас и что прогнозирует в плане инвестиций на 2023 год, читайте в продолжении статьи в LifeProfit.

Понравился текст? Ставьте лайк, это поможет продвижению! ❤️