Добавить в корзинуПозвонить
Найти в Дзене
Урал Звук

Как правильно подобрать сабвуфер

Что придает объем и сочность звучанию аудиосистемы?
Правильно, бас. Верхние и средние частоты, ессно, тоже важны, но без баса звук будет плоским, это факт. В автомобильной акустике воспроизводить низкие частоты могут и широкополосники (обычно входят в базовую комплектацию), и коаксиалы (более продвинутый уровень), и мидбасы (еще более продвинутый уровень). Но если вы хотите, чтоб густо и пробирало - только сабвуфер! Брендов и конфигураций тут великое множество - отечественных и импортных, на любой вкус и кошелек. Но есть вещи, которые следует решить для себя еще до покупки сабвуфера.
Анатолий Шихатов, автозвуковой эксперт со стажем, расскажет, как правильно подобрать сабвуфер. Прежде всего, необходимо решить, какой именно бас вам нужен. Если аккуратный и чёткий, “аудиофильский” бас - это сабвуфер калибра 8-10 дюймов в закрытом корпусе. Если нужен бас мощный, глубокий - это сабвуфер калибра 10-12 дюймов в корпусе с фазоинвертором.
Строгой границы между характером звучания этих типов ак

Что придает объем и сочность звучанию аудиосистемы?
Правильно, бас. Верхние и средние частоты, ессно, тоже важны, но без баса звук будет плоским, это факт. В автомобильной акустике воспроизводить низкие частоты могут и широкополосники (обычно входят в базовую комплектацию), и коаксиалы (более продвинутый уровень), и мидбасы (еще более продвинутый уровень). Но если вы хотите, чтоб густо и пробирало - только сабвуфер!

Брендов и конфигураций тут великое множество - отечественных и импортных, на любой вкус и кошелек. Но есть вещи, которые следует решить для себя еще до покупки сабвуфера.
Анатолий Шихатов, автозвуковой эксперт со стажем, расскажет, как правильно подобрать сабвуфер.

Прежде всего, необходимо решить, какой именно бас вам нужен. Если аккуратный и чёткий, “аудиофильский” бас - это сабвуфер калибра 8-10 дюймов в закрытом корпусе. Если нужен бас мощный, глубокий - это сабвуфер калибра 10-12 дюймов в корпусе с фазоинвертором.
Строгой границы между характером звучания этих типов акустического оформления нет, результат зависит от конкретного исполнения. Но начинать лучше с этого.

Во-вторых, следует определиться: это будет сабвуфер в готовом корпусе или корпус планируется изготовить (самостоятельно или силами специалистов). Готовый корпусной сабвуфер, ессно, экономит время и силы. Кроме того, готовое оформление уже оптимизировано под характеристики используемой сабвуферной головки.
Но есть и минус: вам придется подстраиваться под уже имеющиеся габариты и форму корпуса.

Для изготовления акустического оформления можно воспользоваться рекомендациями производителя сабвуфера, а можно(и это даже лучше) спроектировать собственный вариант. Специально спроектированное и изготовленное акустическое оформление позволяет как минимум сэкономить место (плоский корпус, “корпус-стелс” в боковине багажника, сабвуфер под сиденье или даже сабвуфер в заднюю полку). Но для того, чтобы создать корпус, необходимо знать ряд параметров динамика:

  • частоту резонанса Fs
  • полную добротность Qts
  • эквивалентный объём Vas.

Сабвуфер в задней полке (“free air”) - это частный случай закрытого корпуса, просто очень большого объёма (сотни литров). Его влияние на характеристики динамика можно не учитывать – что поставим, то и получим. Поэтому нужно выбирать сабвуферную головку с частотой резонанса Fs=45-50 Гц и добротностью Qts=0,65-0,85. Главное, чтобы динамик поместился в полке, и щели при этом должны быть минимальны.
Такой вариант больше подходит для седанов, чем для хетчбэков.

Сабвуфер в закрытом корпусе. Здесь объём корпуса уже влияет на характеристики динамика, частота резонанса и добротность растут пропорционально отношению эквивалентного объёма динамика Vas к объёму корпуса Vc. Динамик с жёстким подвесом (с малым Vas=10-15 л) менее чувствителен к объёму корпуса, чем “мягкий” динамик (Vas=30-100 л).

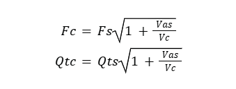
Объём корпуса становится инструментом для настройки частоты резонанса и добротности, поэтому нужно стремиться к тому, чтобы в корпусе частота резонанса возрастала до Fc=45-50 Гц, а добротность укладывалась в диапазон Qtc=0,65-0,9. Рассчитать эти значения можно с помощью формул:

-2

Сабвуфер в фазоинверторе. Здесь уже нужно использовать моделирующие программы. При выборе динамика опять-таки следует ориентироваться на его добротность и частоту резонанса, но здесь они должны быть как можно ниже: Fs не выше 40 Гц, добротность Qts=0,2-0,5. Строго говоря, фазоинверторный корпус можно рассчитать и для других параметров динамика, но тогда он получится очень громоздким, намного больше закрытого корпуса - а это не наш случай: в автомобиле места не так много.

С вами был УРАЛ и ЧЕстный Звук.
О том, как УРАЛ дважды выиграл патентный спор у правообладателя JBL, читайте в
статье
О продукции УРАЛ можно узнать
здесь
О новом АК - подробно -
тут
Внимание! Продукция УРАЛ теперь не только в DNS, но и на OZON)

Наши соцсети:

🔊 VK - https://vk.com/ural_auto

🔊YouTube - https://www.youtube.com/channel/UCLzzLfBqwvyz9WTfUWITRAg

🔊OK - https://ok.ru/group/57850130727085

🔊 TELEGRAM - https://t.me/chezvuk

🔊 RUTUBE - https://rutube.ru/channel/23872366/playlists/

Понравилась статья? Ставьте лайк, делайте репост)
Подписывайтесь на канал! Все самое интересное - впереди.
Всем добра)

#автозвук #сабвуфер #советы эксперта #полезные советы